人体呼气中挥发性有机化合物(VOC)浓度的变化与某些疾病密切相关,通过分析呼气中的VOC来诊断疾病是一种非侵入性、操作方便的手段,近年来在疾病诊断和早期筛查方面受到越来越多的关注。目前检测呼气中VOC的装置主要有两类:质谱类分析仪器和气体传感器。气体传感器具有易集成、小型化、成本低、操作简单等优势,在未来大规模人群疾病的诊断和早期筛查中具有广阔的应用前景。
据麦姆斯咨询报道,针对基于人体呼气检测应用的气体传感器,江西理工大学、中国科学院宁波材料技术与工程研究所、中国科学院大学、上海大学的研究团队进行了综述分析,系统阐述了气体传感器的工作机制、传感器性能、不同敏感材料的应用现状和不同类型气体传感器在人体呼气检测中的应用情况,并展望了气体传感器技术在人体呼气检测中的未来发展前景。相关研究内容以“基于人体呼气检测应用的气体传感器”为题,发表在《化学进展》期刊上。
气体传感器检测技术与敏感材料
气体传感器具有低成本、操作简单和设备体积小的优点,在便携式设备开发方面具有巨大的应用潜力。此外,响应时间短、直接获取结果以及较短的恢复时间,使气体传感器在临床监测和个性化筛查、诊断以及疾病预后监测上更具优势。基于气体传感器的呼气分析可以通过两种不同的方法实现:第一种是使用单一传感器材料对单一气体进行识别,但是其它的气体干扰对检测结果存在较大影响,具有一定的局限性;另一种是利用不同材料的传感器组成阵列,以互补的方式同时响应复杂混合物的全部或大部分成分,针对复杂的化合物进行检测,而不是单一呼出的化合物,这种方法可达到交叉检测的目的,检测结果较准确,误差较小。
气体传感器敏感材料主要包括金属氧化物半导体(MOS)材料、导电聚合物材料、碳基材料等。MOS材料具有宽带隙优势,且具有全光谱的电子特性,但其工作功耗比较高、选择性较差。导电聚合物是制备不同类型VOC气体传感器的重要材料之一,具有易于合成、机械性能良好等优势,在呼气检测方面具有良好的可行性。碳基材料包括碳黑、碳纳米管、石墨烯等,具有高比表面积,这有利于提高敏感材料的灵敏度,使其产生更好的气敏性能,在构建高性能VOC传感材料方面具有巨大的潜力。
气体传感器类型
根据传感机理的不同,气体传感器可分为电阻式、电容式、电化学和压电式等四种主要类型。
电阻式气体传感器是最常见的气体传感器类型之一,其特点是易于制备、工作原理简单以及体积小等,适合大规模生产以制备传感器阵列。基于MOS材料的电阻式气体传感器在呼气检测中最为常见,基于MOS材料的半导体类型分为n型半导体和p型半导体,基于MOS气敏材料的气体传感器具有体积小、低成本、高响应性等优点。

电容式气体传感器由传感层、基板、加热器和电极组成,其工作原理是传感层在不同环境条件下介电性能的变化。电容式传感器工作机制如图2所示。电容式传感器在呼气检测方面也有一些应用,例如Bahoumina等人用碳复合聚合物作为敏感材料在纸上喷墨打印了电容式微波传感器,用于检测人体呼气中乙醇的含量。

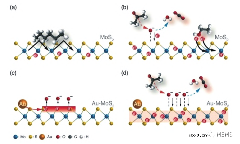
电化学气体传感器通常由一个传感电极和一个被薄层电解质隔开的反电极组成。基于聚合物和纳米材料(例如MNP、CNT、石墨烯衍生物及其组合)交叉反应的电化学传感器可用于糖尿病、肺癌的诊断。Au纳米颗粒修饰的MoS2纳米薄片被用于基于氧气的VOC检测,例如糖尿病生物标志物丙酮,由于从Au纳米颗粒到MoS2的电子贡献,气体传感器的响应性和选择性得到了提高,如图3所示。

压电式传感器对机械应力敏感,常用作质量敏感的传感器。最重要的压电气体传感器类别是石英晶体微量天平(QCM)和声表面波传感器(SAW)。QCM传感器拥有用不同的适当传感元件(例如导电聚合物、MOS或纳米材料)功能化的石英晶体谐振器,广泛用于选择性气体检测,并可能适用于人体呼吸分析。在SAW气体传感器中,晶体表面用化学选择层修饰,化学界面的质量或电导率发生变化会影响分析物中的传播频率。因此,SAW的传播频率会发生变化,通过对其测量可达到检测目的。

气体传感器在不同疾病中的应用
呼气传感器的检测原理分为两种:(1)非目标策略,(2)目标策略。前者旨在评估呼吸模式,而无需识别潜在的呼吸生物标志物。后者旨在利用高灵敏度的气体传感器或传感器阵列识别不同的呼气生物标志物。此外,用于呼气分析的气体传感器必须能够具有高灵敏、高选择性和检测痕量级VOC浓度的基本工作条件。

在慢性肾病检测方面,近年来科研人员致力于将呼气分析这种非侵入性、经济有效的方法应用于该疾病的早期筛查中。基于呼气诊断慢性肾病的依据在于:健康人体呼气中的氨气浓度范围为200 ~ 1750 ppb,患有肾脏疾病人的呼气中氨气浓度为820 ~ 14700 ppb。
在幽门螺旋杆菌检测方面,现如今呼气检测技术已成为该疾病早期筛查的重要手段。目前的检测方法需要感染者服用含有¹³C/¹⁴C标定元素的尿素,如图6所示。但¹³C检测比较昂贵,¹⁴C存在放射性,对人体会产生潜在的危害。因此,与幽门螺旋杆菌存在较大关联性的另一种VOC-氨气,开始成为检测幽门螺旋杆菌的优先选择。

在糖尿病检测方面,呼气分析技术基于其非侵入性、采样方便和高准确率的优点,为糖尿病的早期筛查提供了可能性。Deng等人利用气相色谱-质谱技术对糖尿病患者和健康者进行呼气分析,证明了人体呼气中高浓度的丙酮可以作为诊断糖尿病的依据。
在呼吸道疾病检测方面,目前哮喘临床常规中使用的唯一呼气生物标志物是呼出气一氧化氮。在慢性阻塞性肺疾病检测方面,通过对多种呼气生物标志物VOC气体进行交叉验证可取得较为理想的检测结果。在肺癌检测方面,可以通过分析人体呼气中的肺癌生物标志物实现对肺癌的早期筛查。
随着计算机技术的快速发展和人们对传感器阵列技术与信息融合技术的研究日益深入,电子鼻(E-nose)技术的研究也逐渐成为工程领域研究热点之一。E-nose既能识别简单气味,又能识别复杂气味,具有低成本、高灵敏度、高准确度、检测速度快、数据误差小、重复性好的特点。该技术在呼吸检测方面具有巨大的潜力,在未来可作为实时非侵入性诊断工具用于临床实践和个性化医疗监测。

气体传感器响应数据采集与处理
呼气采样在呼气检测方面也是非常重要的,一般分为直接呼气采样和间接呼气采样。直接呼气采样是将受试者的呼气直接吹向呼气检测装置;而间接呼气采样是将呼气收集到气袋再进行测试,此方法也是目前呼气检测领域常用的采集方式。
常用的特征值提取方法是使用从传感器获得的原始数据来提取特征值。为了提高呼气分析系统的分类准确率,通常在训练选定的分类或回归模型之前使用特征提取算法。
模式识别算法包括主成分分析(Principle component analysis,PCA)、人工神经网络(Artificial Neural Networks,ANN)、支持向量机(Support vector machines,SVM)、K-近邻算法(K- nearest neighbors,K-NN)。
结论与展望
近年来,基于呼气分析的传感器技术有了长足的发展,虽然技术不断改进,但距离成为诊断疾病的主流还有很长的路要走。目前大多数应用都是针对少数患者的原理验证和病例的对照研究,还存在许多不足:
(1)缺乏测试标准化;
(2)呼气生物标志物的鉴定较为繁琐;
(3)某些疾病不能用单一生物标志物诊断;
(4)缺乏可靠的数据分析方法。
为了克服这些局限性,呼气分析研究应侧重于呼气采样和检测标准化以及技术/生理/病理生理学混杂物的系统改进,以确定内源性VOC并确定生物标志物的有效呼出模式并建立血液和呼气中VOC浓度之间的标准相关性。此外,开发满足临床需求的便携式、低成本纳米材料传感器以及通过使用不同的受试者组优化传感器训练和验证,是开发适用于临床诊断的传感器的关键。为了实现上述所有目标,跨学科研究和合作是必不可少的先决条件。
审核编辑:刘清
Sensirion和AirTeq合作推出新型室内空气质量...
时间:2026-03-19
可穿戴生物传感器厂商SIBIONICS推出SIBIO K...
时间:2026-03-19
使用RT-Thread和CPK-RA2L1采集DHT11温湿度
时间:2026-03-19
柔性触觉传感阵列+深度学习实现健康监测和纹...
时间:2026-03-19
医疗传感器有哪些_磁传感器在医疗健康领域中...
时间:2026-03-19
液压压力传感器原理及应用场合
时间:2026-03-19
地磁传感器在城市交通中的主要作用
时间:2026-03-19
新型传感器的检测方法
时间:2026-03-19
压电陶瓷传感器的特点及常见用途
时间:2026-03-19
液压传感器的构造及工作原理
时间:2026-03-19
玻璃釉电容器的结构与特点
时间:2026-03-05
碳膜电阻如何识别_金属膜电阻器和碳膜电阻器...
时间:2026-03-05
电阻的标称阻值和允许偏差
时间:2026-03-05
石英灯电子变压器电路原理
时间:2026-03-06
变压器并列运行的条件浅析
时间:2026-03-06
关于STM32WL LSE 添加反馈电阻后无法起振的...
时间:2026-03-05
贴片电阻怎么看阻值
时间:2026-03-05
可调电阻怎么接线
时间:2026-03-05
压敏电阻有正负极吗
时间:2026-03-05
怎样测试三极管的好坏,NPN三极管如何知道是...
时间:2026-03-07