★★★ Resistor-4---NTC的R-T曲线 ★★★
引言:通常,热敏电阻是指NTC型,因此在后面,将NTC统一称为热敏电阻。
€1.NTC的材料以及特性
NTC热敏电阻(Negative Temperature Coefficient Thermistor)是一种由锰(Mn)、镍(Ni)、铜(Cu)等成分构成的氧化物烧结体,它随温度上升电阻呈指数关系减小,NTC热敏电阻分为盘式、SMD、玻璃封装二极管、树脂封装被膜线等形状,而作为温度保护器件嵌入到电路中的则是通过积层工艺制造的SMD形状贴片NTC热敏电阻。通常热敏电阻可用在温度检测、温度补偿、防浪涌等场合。
NTC热敏电阻的阻值(RT)与热力学温度(T)的典型关系曲线如下图所示,可见随着温度的升高,RT迅速减小。

图4-1:电阻-温度特性,取自Murata官网
€2.NTC的R-T计算
NTC的测温范围可以从-55℃--125℃,在一个温度下精度高,在整个范围内精度低,线性度差,温度-电阻曲线遵循遵循对数函数的倒数。NTC的曲线拟合方程有两种方法:B值指数法和Steinhart-Har多项式法。
B值指数法:

图4-2:NTC温度传感器的典型电阻作为温度的函数
相对较大的负斜率意味着即使是很小的温度变化也会导致电阻的显著变化,这使得NTC传感器成为精确的温度测量和控制的理想选择。NTC陶瓷温度传感器的主要电气特性由三个重要参数及其公差表示, 表4-1 :

表4-1:关键参数
R25为在25°C(华氏温度为298.15k)时的电阻值(基本上是在室温下),它为NTC提供了一个方便的参考点。R25上的公差主要是由于陶瓷材料制造和芯片尺寸上的公差的变化,通过使用高度均匀的材料成分和专有的陶瓷锯切技术,允许精确控制芯片尺寸,产品的R25公差可以低于1%。
B值指数法在T℃下的电阻值R由下式近似给出:


其中:
RT:温度T (K) 的电阻值T(K)=T(℃)+ 273.15
R0:温度 T0 (K) 的电阻值,在热敏电阻规格书中,在25°C时的电阻值记为R0 ~ ~ 。
B :常数B,单位为 (K)
B是一个控制RT特性斜率的材料常数(见 图4-2 ),在实践中,B随温度而有所变化,因此在25°C和85°C两个温度之间由公式定义:

B25/85(以K表示)通常用于表征和比较不同的陶瓷参数,B(或B25/85)的公差主要由材料成分公差和烧结条件引起,最新的材料对某些特定的B25/85值的公差低至±0.3 %。
Steinhart-Har多项式法:
在大多数情况下,需要比纯指数曲线(公式1)更好的拟合曲线来准确地测量温度。这就是为什么每个NTC材料曲线都被定义为一个三阶多项式,如下式所示:

或者将T做成反比表示为RT的函数:

公式4和公式5代表了在任何给定的温度下,误差小于0.1 %的真实材料曲线。系数A、B、C、D、A1、B1、C1和D1的值在一些数据表中或者R-T计算表中给出。
通常式5会继续简化为Steinhart-Hart方程:

其中:
T=温度(开尔文)
A,B,C=斯坦哈特-哈特方程常数
R=电阻(单位:欧姆)
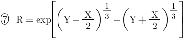
将热敏电阻的温度转换为电阻:

其中:

X,Y是温度-电阻方程中使用的Steinhart-Hart系数。
€3.NTC的公差
NTC传感器在其工作温度范围内的总公差是R25和B值上的公差的组合:

公差在25°C时具有最小值,因为这是传感器被校准时的温度。在这个温度以上和以下,由于B值公差的增加,25℃两侧温度公差都会增加,ΔR/R误差曲线呈现一个V字形。B值精度越高,ΔR/R公差越小,曲线越平缓,V字角度越大,可以获取更高精度的温度测量。
电阻温度系数:电阻的温度系数α表示传感器对温度变化的灵敏度。定义为:

使用ΔR/R公式来消除R,电阻温度系数可以重新表示为:

这意味着α的相对公差等于b值的相对公差。
Sensirion和AirTeq合作推出新型室内空气质量...
时间:2026-03-19
可穿戴生物传感器厂商SIBIONICS推出SIBIO K...
时间:2026-03-19
使用RT-Thread和CPK-RA2L1采集DHT11温湿度
时间:2026-03-19
柔性触觉传感阵列+深度学习实现健康监测和纹...
时间:2026-03-19
医疗传感器有哪些_磁传感器在医疗健康领域中...
时间:2026-03-19
液压压力传感器原理及应用场合
时间:2026-03-19
地磁传感器在城市交通中的主要作用
时间:2026-03-19
新型传感器的检测方法
时间:2026-03-19
压电陶瓷传感器的特点及常见用途
时间:2026-03-19
液压传感器的构造及工作原理
时间:2026-03-19
玻璃釉电容器的结构与特点
时间:2026-03-05
碳膜电阻如何识别_金属膜电阻器和碳膜电阻器...
时间:2026-03-05
电阻的标称阻值和允许偏差
时间:2026-03-05
石英灯电子变压器电路原理
时间:2026-03-06
变压器并列运行的条件浅析
时间:2026-03-06
关于STM32WL LSE 添加反馈电阻后无法起振的...
时间:2026-03-05
贴片电阻怎么看阻值
时间:2026-03-05
压敏电阻有正负极吗
时间:2026-03-05
怎样测试三极管的好坏,NPN三极管如何知道是...
时间:2026-03-07
三极管的主要参数
时间:2026-03-07