2.1 欧拉定理
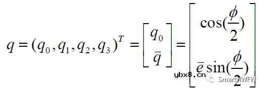
欧拉定理是刚体定点转动理论中的一个重要定理,它表明刚体绕固定点的任何位移都可以通过绕通过此点的某一轴转过一个角度来实现。在单位时间间隔Δt内,假设刚体的角速度为ω,则该转动轴的方向e及绕该轴转过的角度φ分别为:e = ω/|ω|,φ = |ω|Δt。

相应四元数表示式为:

满足约束条件

以超复数形式表示有:

满足约束条件

利用三角公式:

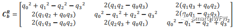
可将四元数转化成姿态矩阵 b系到R系

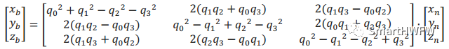
可将四元数转化成姿态矩阵 R系到b系

Tips:R系是一种用于描述空间中点位置的导航坐标系,其中的坐标值表示相对于地球的位置。b系是一种用于描述载体(例如航空器、船舶等)位置的坐标系,其中的坐标值表示相对于载体的位置。
3. Matlabe四元数转方向余弦矩阵
API
function[y1,...,yN]=myfun(x1,...,xM)声明名为myfun的函数,该函数接受输入x1,...,xM并返回输出y1,...,yN
q2mat(),qua2dcm(),quat2dcm()将四元数转换矩阵


4.C语言实现四元数转方向余弦矩阵
基于 QMI8658 姿态传感器实现四元数转换为方向余弦矩阵的过程如下:
STEP1: 根据传感器获取到的四元数数据,我们可以得到四元数的四个分量:q0、q1、q2、q3。
STEP2: 我们可以根据四元数的定义,将其转换为方向余弦矩阵。具体的转换公式如下:
| C11 C12 C13 | | C21 C22 C23 | | C31 C32 C33 | 其中,C11、C12、C13、C21、C22、C23、C31、C32、C33 分别表示方向余弦矩阵的九个元素。
STEP3: 我们可以通过串口将获取到的四元数和方向余弦矩阵输出。
以下是基于 QMI8658 姿态传感器获取到的静止放置在水平面,Z轴向上的四元数和方向余弦矩阵数据:

我可以使用Wolfram Alpha计算器进行计算和校验,并给出结果。

审核编辑:刘清
Sensirion和AirTeq合作推出新型室内空气质量...
时间:2026-03-19
可穿戴生物传感器厂商SIBIONICS推出SIBIO K...
时间:2026-03-19
使用RT-Thread和CPK-RA2L1采集DHT11温湿度
时间:2026-03-19
柔性触觉传感阵列+深度学习实现健康监测和纹...
时间:2026-03-19
医疗传感器有哪些_磁传感器在医疗健康领域中...
时间:2026-03-19
液压压力传感器原理及应用场合
时间:2026-03-19
地磁传感器在城市交通中的主要作用
时间:2026-03-19
新型传感器的检测方法
时间:2026-03-19
压电陶瓷传感器的特点及常见用途
时间:2026-03-19
液压传感器的构造及工作原理
时间:2026-03-19
玻璃釉电容器的结构与特点
时间:2026-03-05
碳膜电阻如何识别_金属膜电阻器和碳膜电阻器...
时间:2026-03-05
电阻的标称阻值和允许偏差
时间:2026-03-05
石英灯电子变压器电路原理
时间:2026-03-06
变压器并列运行的条件浅析
时间:2026-03-06
关于STM32WL LSE 添加反馈电阻后无法起振的...
时间:2026-03-05
贴片电阻怎么看阻值
时间:2026-03-05
可调电阻怎么接线
时间:2026-03-05
压敏电阻有正负极吗
时间:2026-03-05
怎样测试三极管的好坏,NPN三极管如何知道是...
时间:2026-03-07