糖尿病是一种由于胰岛素分泌不足或无法有效利用胰岛素而引起的以高血糖为特征的代谢性疾病。近年来,人们膳食结构和生活方式的改变导致糖尿病迅猛增长,对人体各种组织器官,特别是眼、肾、心脏、血管、神经等产生慢性损害和功能障碍。为了做好糖尿病前期预防及其并发症的监测,控制和监测血糖水平显得尤为必要。基于葡萄糖氧化酶的电化学生物传感器由于其特异性和灵敏度高、制备简单、响应速度快、成本低等优点受到研究者广泛关注。在酶基电化学传感器构建中,采用固定化酶方法可提高葡萄糖氧化酶的稳定性和传感器的使用寿命,结合纳米材料高的比表面积和良好的光电化学性质,利用其独特的电催化性能和协同效应,可实现葡萄糖的高灵敏传感检测。
中空多孔金纳米粒子(HPAuNPs)是一种具有纳米级孔的新型金纳米材料,与传统球形金纳米粒子(AuNPs)相比,具有比表面积大、密度低、连通性好、不易团聚和稳定性高等优点。HPAuNPs的多孔中空结构可使更多分子吸附到颗粒的外表面和空腔壁上,从而显著提高功能分子荷载量。由于HPAuNPs的独特多孔中空结构和优异电催化性能,使其可作为一种纳米负载材料和电极修饰材料,用于生物酶的有效和高负载固定,构建新型传感界面,实现分析物的高灵敏检测。
据麦姆斯咨询报道,来自云南民族大学的研究人员采用溶液相牺牲模板法制备HPAuNPs,并将HPAuNPs与还原氧化石墨烯(rGO)复合制备HPAuNPs/rGO复合纳米材料。该复合纳米材料不仅为电子转移提供更大的表面积,也为葡萄糖氧化酶(GOx)固定提供了更有利的微环境,从而实现对葡萄糖的直接和灵敏测定。相关研究以“基于中空多孔金纳米/石墨烯复合纳米材料的葡萄糖氧化酶直接电化学及其生物传感研究”为题发表在《分析测试学报》期刊上。
检测原理
GOx/HPAuNPs/rGO/GCE修饰电极的制备及检测葡萄糖的原理如图1所示。采用溶液相牺牲模板法制备HPAuNPs,将HPAuNPs和rGO混合后超声分散,得到HPAuNPs/rGO悬浮液。移取HPAuNPs/rGO混合液滴涂于GCE表面,通过物理吸附将其修饰到GCE表面,再将GOx固定于修饰电极表面,构建GOx/HPAuNPs/rGO/GCE传感界面。当溶液中存在葡萄糖时,电极表面发生酶催化反应。由于HPAuNPs和rGO的良好导电性能、大比表面积及生物相容性,HPAuNPs/rGO复合材料可提高GOx的负载量和保持酶的活性,呈现良好的电催化性能和协同效应,有效促进电子在电极表面的传递,所构建的新型传感界面可用于葡萄糖的检测分析。

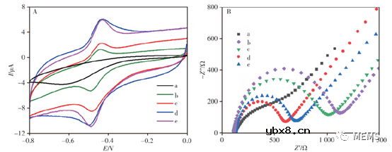
GOx/HPAuNPs/rGO/GCE的电化学表征
采用循环伏安法(CV)和电化学阻抗谱法(EIS)研究修饰电极的制备过程。图2A为不同修饰电极在0.1 mol/L PBS(pH = 7.4)缓冲液中的CV图,相比于裸GCE(曲线a),HPAuNPs和rGO单独修饰的电极均呈现较大的峰电流(曲线b、c),HPAuNPs/rGO复合材料修饰电极呈现更大的峰电流(曲线d)。以上结果表明,HPAuNPs/rGO复合材料可显著促进电极表面的电子传递。图2B为不同修饰电极在5 mmol/L [Fe(CN)₆]³⁻/⁴⁻和0.1 mol/L KCl溶液中的EIS图,由图可见,对比HPAuNPs和rGO单独修饰电极,HPAuNPs/rGO复合材料修饰电极呈现较小的阻抗,更有利于电极表面的电子传递。

葡萄糖传感检测分析
采用差分脉冲伏安法(DPV)测定GOx/HPAuNPs/rGO/GCE修饰电极对不同浓度葡萄糖的响应峰电流。如图3所示,随着葡萄糖浓度的增加,DPV的响应峰电流逐渐增大。修饰电极的响应峰电流与葡萄糖浓度在0.05 mmol/L~ 7.0 mmol/L范围内呈良好的线性关系(图3插图),检出限(S/N = 3)为16 μmol/L,相关系数(R²)为0.9970。

传感器的重现性、稳定性与选择性
在含1 mmol/L葡萄糖的PBS缓冲液(0.1 mol/L,pH = 7.4)中,分别测试了修饰电极的重现性、稳定性及抗干扰性。采用同一批次制备的6支GOx/HPAuNPs/rGO/GCE电极进行测试,结果表明,6支修饰电极对同一浓度葡萄糖电流响应的相对标准偏差(RSD)为3.7%,说明该修饰电极具有良好的重现性。将GOx/HPAuNPs/rGO/GCE修饰电极在4℃下放置不同时间后,测定其对1 mmol/L葡萄糖的响应电流,21 d后修饰电极的响应电流仍保持在其初始值的93.3%,表明修饰电极的稳定性良好。此外,选择5 mmol/L尿酸(UA)、多巴胺(DA)、抗坏血酸(AA)及其混合物为干扰物,将GOx/HPAuNPs/rGO/GCE修饰电极用于检测,结果显示,各干扰物及其混合物的电流信号与空白溶液无明显差异,仅1 mmol/L葡萄糖表现出明显的电流响应信号,说明修饰电极用于葡萄糖检测具有优异的抗干扰性和选择性。
综上所述,该研究基于HPAuNPs/rGO纳米复合材料构建了GOx/HPAuNPs/rGO/GCE传感界面,并研究了固定化GOx的直接电化学性能。研究表明,该HPAuNPs/rGO复合材料提供了良好的微环境,可有效实现GOx与电极之间的直接电子转移。将该电化学传感器用于葡萄糖的检测,方法灵敏快速,并具有良好的选择性、抗干扰性和稳定性,为葡萄糖的快速检测及自供能传感器的构建提供了研究基础。
审核编辑:刘清
AI技术是如何助推新一代传感器大力发展的?
时间:2026-03-18
物联网的特点有哪些 物联网的常见应用有哪...
时间:2026-03-18
【NuMaker-M2354试用】spi测试分享
时间:2026-03-18
一种用于测量单细胞瞬态响应的封闭式微流控...
时间:2026-03-18
电流检测方案的演变过程
时间:2026-03-18
CMOS兼容的Te/Si超快近红外光电探测器设计实...
时间:2026-03-18
PVDF压电纤维仿生柔性传感器水下传感特性介...
时间:2026-03-18
浅析基于SLAM的机器人自主定位导航
时间:2026-03-18
自动驾驶中基于网格的交通场景感知介绍
时间:2026-03-18
TMR磁传感器芯片有哪些特性?有哪些应用?
时间:2026-03-18
玻璃釉电容器的结构与特点
时间:2026-03-05
电阻的标称阻值和允许偏差
时间:2026-03-05
石英灯电子变压器电路原理
时间:2026-03-06
变压器并列运行的条件浅析
时间:2026-03-06
碳膜电阻如何识别_金属膜电阻器和碳膜电阻器...
时间:2026-03-05
三极管的主要参数
时间:2026-03-07
光伏控制器简介
时间:2026-03-06
关于STM32WL LSE 添加反馈电阻后无法起振的...
时间:2026-03-05
可调电阻怎么接线
时间:2026-03-05
压敏电阻有正负极吗
时间:2026-03-05