01 导读
基于前向受激布里渊散射(Forward Stimulated Brillouin Scattering, FSBS)的分布式光纤传感技术用声代光作为触角,利用无损标准光纤中独特的横向声波来测量光纤外介质的声阻抗从而实现对外界物质的识别与特性分析,拓宽了物质识别领域的检测方式,已成为当前分布式光纤传感领域的研究热点。
哈尔滨工业大学董永康教授团队首次提出了准声阻抗匹配传感机制,实现了一种基于FSBS的分布式光力传感器,将与二氧化硅包层更为接近、具有优越力学强度的铝涂覆层光纤作为新型声阻抗传感光纤,系统性研究了镀铝光纤声阻抗传感中的横向声波模式响应和相对湿度不敏感特性,并以2m的空间分辨率高信噪比的识别了镀铝涂层光纤周围的空气和水,验证了其分布式识别外界物质的能力。研究成果以“Quasi-acoustic impedance matching distributed opto-mechanical sensor with aluminized coating optical fibers”为题发表在美国光学学会(OSA)旗舰期刊Optics Letters,论文第一作者为董永康教授,第二作者为博士生任玉丽,通讯作者为巴德欣教授。
02 研究背景
前向受激布里渊散射是激光光束和电致伸缩引起的横向声波之间有趣的非线性声光相互作用。目前,基于FSBS的分布式光纤传感技术被提出,利用无损单模光纤中独特的横向声波测量光纤外物质的机械特性,从而实现外界物质识别与特性分析,此方案为利用光纤进行物质种类分辨提供了新的思路。光纤不仅具有导光性,还是一种良好的声波导。FSBS激发的声波以光纤包层/涂层和外界的交界为边界,在横截面内往返振荡形成横向声波模式,其声波寿命对外界物质的声波阻抗敏感。当横向声波与纤芯中传输的光波发生FSBS后,通过测量其谱宽信息即可得到外界物质的机械性能。
研究者们利用标准单模光纤,通过将FSBS与位置分辨的瑞利散射或后向受激布里渊散射相结合,探测累积的FSBS频谱,经数据处理解调出分布式信息。然而,现有光纤声阻抗传感所使用的待测光纤存在一些问题:标准单模光纤的丙烯酸酯涂覆层声阻抗与包层二氧化硅声阻抗差异较大,声波传输损耗严重无法与外部环境物质接触,基于此类传感方法必须要剥离单模光纤的涂覆层,去除涂覆层的裸光纤力学强度低,难以实际应用;已有相关文献报道聚酰亚胺涂层光纤亦可允许横向声波传输到涂层并可到达周围环境,同时保持光纤的机械性能,然而聚酰亚胺光纤具有不均匀FSBS增益谱,同时涂层吸水膨胀造成测量结果误判。
因此,针对上述问题,对于石油等能源管道泄漏、海水淡化过程、深井井下水位测量等应用领域,提出了一种具有高信噪比和强鲁棒性的用于外界物质辨别的分布式声阻抗传感器,这不仅具有学术价值,而且具有十分重要的社会意义。
03 创新研究
3.1准声阻抗匹配原理
圆柱形光纤不仅能传输基本的光学模式,而且支持丰富的声学模式,如纵向、径向、扭转和弯曲弹性波。虽然光学模式主要被限制在纤芯内部,无法直接感知光纤的周围环境,但声学模式的存在依赖于包层-外部边界对声波的引导,使其感知周围介质的外部机械性能的变化。对于径向声学模式,表示为R0,m,其横向声场径向对称且受光纤边界的约束,允许横向声波在整个光纤截面内谐振,并能明显受到任何边界声阻抗变化的影响。声波可以通过光弹性效应影响光的传播,这就为通过FSBS过程检测标准光纤中的光波来识别周围材料的成分提供了机会。
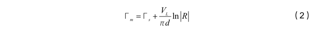
光纤外部声学阻抗的变化影响边界处声波的反射率,也就是说,变化的声学阻抗影响着声波的寿命,这体现在FSBS的光谱线宽上。在待测光纤中输入一个强激发脉冲,通过电致伸缩效应将横向声波激活至稳态。一旦脉冲中断,横向声波仍然可以与驱动声场保持相位连续性并呈指数衰减。横向声波在多层光纤结构中传播,其反射和传输由每一层结构的声阻抗决定。假设声波在界面处的反射和透射能量守恒,设二氧化硅-铝层和铝层-外界介质边界的声场反射率分别为r1和r2,则边界处的声波反射率表示为


镀铝光纤内部的横向声波动力学可以简化为一个两层过程,外部介质的声阻抗首先影响铝涂层的整体声反射率,进而改变标准光纤结构中的FSBS频谱的线宽。FSBS共振线宽的展宽是由于二氧化硅-铝涂层边界的有效折射率R引起的,光纤外层材料的声阻抗与FSBS谱的共振线宽Gm直接相关,其定量关系如下:

横向声波的边界条件表示为:




结合镀铝光纤,运用光时域分析仪来探测横向声波并进行分布式传感实验,实验装置较为简单,与传统的布里渊光时域分析系统接近,如图2所示。

对单模光纤和特殊涂层光纤的FSBS频谱进行研究,扫频范围为10-510MHz,如图3所示,实验中得到的FSBS频谱均显示了多个共振峰。图3(a)为镀铝光纤和无涂层单模光纤的频谱对比结果,当镀铝涂层作为声场传播介质时,由于与二氧化硅的准声阻抗匹配条件,横向声波相比于无涂层单模光纤具有较大振荡直径,因此镀铝光纤中的FSBS与无涂层单模光纤表现出相似的离散频谱分布,但镀铝光纤中每个声学模式之间的共振频率间距相对减小(~36.76MHz)。作为比较,选择具有相同包层直径但涂层厚度不同(分别为~17.1mm和~13.8mm)的聚酰亚胺光纤作为待测光纤,进行10-510MHz范围扫频获得的FSBS频谱如图3(b)所示。
由于涂层厚度差约为3mm,导致两者光谱分布的模式强度严重失真。具体来说,二氧化硅和聚酰亚胺涂层之间的声阻抗不匹配,导致在包层-聚酰亚胺涂层界面处的声反射(rsi-PI = ~ 0.57)和声透射相对等效,从而引起反射声波与透射声波之间的相干相消。因此,对于聚酰亚胺光纤,涂层厚度的均匀性会影响将其作为待测光纤的FSBS传感器性能。综上,当镀铝层用作光纤涂层时,包层-涂层界面处的反射可以忽略不计,一定程度上避免了对声波传输的干扰,使系统对涂层参数具有更高的鲁棒性。

3.3镀铝光纤的相对湿度与稳定性测试
聚酰亚胺光纤除了具有不规则的FSBS光谱分布外,其涂层在进行液体传感时往往会吸收水分,因此环境的相对湿度会干扰其FSBS光谱测量,而镀铝光纤则完美解决以上缺点。为了验证镀铝光纤对相对湿度的敏感性,将15m的待测光纤放置于温湿箱内,温度稳定控制在30°C。相对湿度从40%RH增大为90%RH。实验测量R0,6模式介导的FSBS频谱,如图4所示。分别对6个湿度条件下的频谱计算其中心频率和线宽均约为209.4MHz 和1.7MHz。六组FSBS谱显示出高度的一致性,仅在噪声基底周围有轻微的波动。
由于镀铝层与空气之间存在严重的声阻抗不匹配,横向声波束缚在整个光纤截面内,平均信噪比达到34.01dB。测量组之间的信噪比波动为7.58dB。此外,每个湿度下的FSBS谱测量重复5次,并洛伦兹拟合提取的中心频率和线宽如图4(a)所示,计算中心频移和线宽的均方根误差分别为11.22kHz和14.61kHz。同时,不同湿度下测量的频移和线宽标准差分别为5.34kHz和8.77kHz,均小于固有测量不确定度。因此,镀铝光纤中的FSBS对环境湿度变化不敏感,几乎不受外界相对湿度变化的影响,这是基于FSBS液体声阻抗传感的独特优势。

随后为了进一步表征镀铝光纤的传感精度,进行了稳定性实验,在室温下每隔24小时重复测量由R0,6模式在空气中介导的FSBS光谱。如图5(a)所示,五组重复性实验分别表示为test-1到test-5。通过洛伦兹拟合提取的它们的中心频率和线宽如图5(b)所示。计算表明,频移和线宽的平均值分别为209.36和1.77MHz,最大值和最小值的偏差分别为0.13MHz和0.10MHz。由于镀铝光纤具有优异的稳定性和可重复性,频移和线宽的标准偏差分别稳定在52.63kHz和39.62kHz,这些变化不足以影响后续的声阻抗传感。因此,镀铝光纤表现出高稳定性,可用于误差极低的传感实验。

3.4 基于镀铝光纤的声阻抗传感
最后,进行基于镀铝光纤的分布式声阻抗传感。长度为15m的镀铝光纤松弛的放置在空气中,没有固有的扭转应变,以步长0.01MHz,从204MHz扫描到215MHz,其3D谱分布如图6(a)所示。由于镀铝涂层与空气界面之间的反射比接近于1,空气环境的FSBS谱线宽主要由光纤中的固有声学损耗决定。然后,将镀铝光纤的中间4m置于去离子水中,其余光纤则继续保持在空气中。由于水的声阻抗与光纤铝层差异较大,FSBS接触水时能量转移效率降低,导致峰强度降低,线宽展宽,如图6(b)所示。取2.5m和7.5m处的FSBS谱进行对比分析如图6(c)所示,空气和水中的FSBS谱的线宽分别为1.72MHz和3.41MHz。
此外,FSBS光谱的分布式线宽通过洛伦兹拟合计算如图6(d),其中在镀铝光纤的中间部分出现突然的台阶,即表明外部环境的变化,其空间分辨率为2m。代表空气环境的频谱线宽低于1.9MHz,而水环境中的频谱线宽约为3.3MHz。这两个区域的线宽波动都限制在0.22MHz以下,表明镀铝光纤声阻抗传感稳定性良好。

04 应用与展望
本文主要提出了一种性能稳定、鲁棒性高的分布式光力传感器,用于外部环境物质声阻抗识别,首次演示了镀铝涂层光纤中的FSBS效应。得益于镀铝层和二氧化硅纤芯-包层的准声阻抗匹配条件,镀铝光纤不仅具有更强的力学性能和更高的横向声波传输效率,而且具有更高的信噪比。通过以2m的空间分辨率识别镀铝涂层光纤周围的空气和水来验证分布式测量能力。此外,所提出的传感器不受外部相对湿度变化的影响,这是液体声阻抗测量的优势。这种新型传感器将适用于石油管道泄漏和海洋污染物检测等化学传感领域,以及同时温度和声阻抗传感。
审核编辑:刘清
AI技术是如何助推新一代传感器大力发展的?
时间:2026-03-18
物联网的特点有哪些 物联网的常见应用有哪...
时间:2026-03-18
【NuMaker-M2354试用】spi测试分享
时间:2026-03-18
一种用于测量单细胞瞬态响应的封闭式微流控...
时间:2026-03-18
电流检测方案的演变过程
时间:2026-03-18
CMOS兼容的Te/Si超快近红外光电探测器设计实...
时间:2026-03-18
PVDF压电纤维仿生柔性传感器水下传感特性介...
时间:2026-03-18
浅析基于SLAM的机器人自主定位导航
时间:2026-03-18
自动驾驶中基于网格的交通场景感知介绍
时间:2026-03-18
TMR磁传感器芯片有哪些特性?有哪些应用?
时间:2026-03-18
玻璃釉电容器的结构与特点
时间:2026-03-05
电阻的标称阻值和允许偏差
时间:2026-03-05
石英灯电子变压器电路原理
时间:2026-03-06
变压器并列运行的条件浅析
时间:2026-03-06
碳膜电阻如何识别_金属膜电阻器和碳膜电阻器...
时间:2026-03-05
三极管的主要参数
时间:2026-03-07
光伏控制器简介
时间:2026-03-06
关于STM32WL LSE 添加反馈电阻后无法起振的...
时间:2026-03-05
可调电阻怎么接线
时间:2026-03-05
压敏电阻有正负极吗
时间:2026-03-05