前言
本章节采用龙伯格观测器进行永磁同步电机的无传感器控制,首先分析了龙伯格观测器的原理,然后设计了PMSM的全阶龙伯格观测器,最后通过Matlab/Simulink对该观测器方案进行仿真分析,为了进行对比分析在Matlab/Simulink中也搭建了基于MICROCHIP AN2950的低阶龙伯格观测器。
一、龙伯格观测器
1.1.龙伯格观测器的原理
上一章节分析了滑膜观测器,并引入了状态观测器的概念。介绍了什么是状态观测器,并对状态观测器增加反馈,通过反馈来不断的修正状态观测器的输出,使状态观测器尽可能的接近真实电机,如下图所示:

反馈方式与修正方式的不同产生了不同种类的状态观测器。
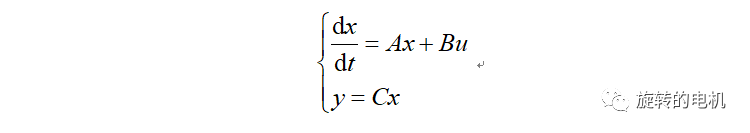
现代控制理论中实际系统的状态空间表达式为:

龙伯格观测器不同于滑膜观测器的简单结构,该观测器完全依托于上述状态空间表达式。我们用状态空间表达式的形式建立用于描述电机的数学模型,并引入反馈。通过反馈不断的修正龙伯格观测器的状态,从而使观测器不断的接近真实电机。龙伯格观测器的结构如下图所示:

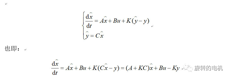
龙伯格观测器的一般表达式如下所示:

1.2.龙伯格观测器的误差


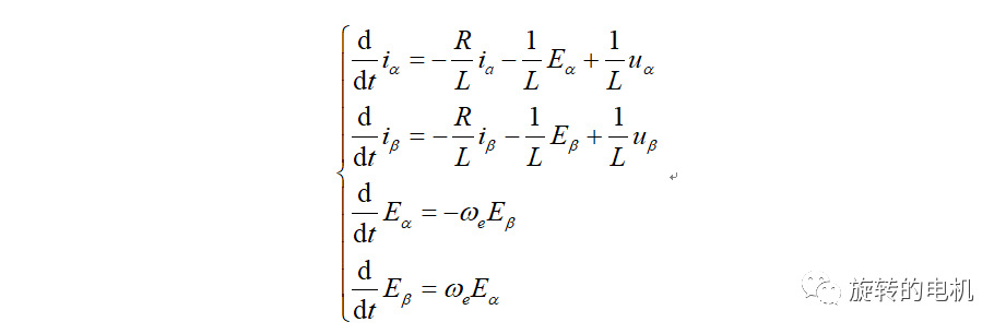
1.3.PMSM龙伯格观测器的建立








二、Matlab/Simulink仿真分析

上图为PMSM基于龙伯格观测器的无感控制整体框图,为了后续模型生成代码进行工程实现,本示例将控制算法部分单独建模,通过调用控制算法模型进行PMSM的控制。
2.1.仿真电路分析

为了后续模型生成代码加载到底层进行工程实现,本示例建立了三个不同时间的调度任务。
10ms任务:用于电机控制模式的切换,本示例采用经典的三段式启动方式,即转子预定位、IF开环启动、开环切闭环进行无感控制。
速度环控制:相较于电流环速度环对实时性要求不高,带宽一般为电流环带宽的1/20,本示例将速度环设置为2ms任务。
电流环控制:电流环对实时性要求高,带宽高时间设置为FOC的执行时间50us。
2.1.1 电机控制模式切换10ms任务

设置转子预定位持续时间500ms;500ms后切换为IF开环控制;如果IF开环启动时间大于1s且此时的观测速度大于900RPM,则切换到无感闭环控制。
2.1.2 速度环控制2ms任务

只有在无感闭环控制模式才用到速度环。
2.1.3 电流环控制50us任务

控制模式切换:

龙伯格观测器:

该示例搭建了上述推导的全阶龙伯格观测器,并且为了进行对比,参考了MICROCHIP AN2950同时搭建了降阶龙伯格观测器,AN2950降阶龙伯格观测器方案如下:





FOC电流闭环:

2.1.4 电机主电路

2.2.仿真结果分析
全阶龙伯格观测器反电动势观测值:

降阶龙伯格观测器反电动势观测值:

由仿真结果,全阶龙伯格观测器和降阶龙伯格观测器都得到了很好的观测结果。
实际角度与龙伯格观测角度:

电机转速:

0~0.5s执行转子预定位:

0.5s~2.76s为IF开环启动:

2.76s~20s为无感闭环控制

电机定子电流:

电机实际转子位置:

同步旋转坐标系下的定子电流Id、Iq:

同步旋转坐标系下的定子电压:

电磁转矩:

总结
本章节采用龙伯格观测器进行永磁同步电机的无传感器控制,首先介绍了龙伯格观测器的原理,然后设计了PMSM全阶龙伯格观测器,最后通过Matlab/Simulink对该方案进行了仿真分析,为了进行对比分析在Matlab/Simulink中也搭建了基于MICROCHIP AN2950的低阶龙伯格观测器。
AI技术是如何助推新一代传感器大力发展的?
时间:2026-03-18
物联网的特点有哪些 物联网的常见应用有哪...
时间:2026-03-18
【NuMaker-M2354试用】spi测试分享
时间:2026-03-18
一种用于测量单细胞瞬态响应的封闭式微流控...
时间:2026-03-18
电流检测方案的演变过程
时间:2026-03-18
CMOS兼容的Te/Si超快近红外光电探测器设计实...
时间:2026-03-18
PVDF压电纤维仿生柔性传感器水下传感特性介...
时间:2026-03-18
浅析基于SLAM的机器人自主定位导航
时间:2026-03-18
自动驾驶中基于网格的交通场景感知介绍
时间:2026-03-18
TMR磁传感器芯片有哪些特性?有哪些应用?
时间:2026-03-18
玻璃釉电容器的结构与特点
时间:2026-03-05
电阻的标称阻值和允许偏差
时间:2026-03-05
石英灯电子变压器电路原理
时间:2026-03-06
变压器并列运行的条件浅析
时间:2026-03-06
碳膜电阻如何识别_金属膜电阻器和碳膜电阻器...
时间:2026-03-05
三极管的主要参数
时间:2026-03-07
光伏控制器简介
时间:2026-03-06
关于STM32WL LSE 添加反馈电阻后无法起振的...
时间:2026-03-05
可调电阻怎么接线
时间:2026-03-05
压敏电阻有正负极吗
时间:2026-03-05