压差传感器是一种用来测量两个压力之间差值的传感器,通常用于测量某一设备或部件前后两端的压差。
压差传感器外壳为铝合金、不锈钢结构。两个压力接口为M10螺纹和旋塞、Ф6塔头结构。广泛应用于纺织车间、锅炉送风、井下通风等电力、煤炭,纺纱棉箱,除尘设备,行业压力过程控制领域。
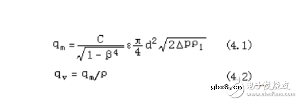
充满管道的流体,当它流经管道内的节流件时,如图4.1所示,流速将在节流件处形成局部收缩,因而流速增加,静压力降低,于是在节流件前后便产生了压差。流体流量愈大,产生的压差愈大,这样可依据压差来衡量流量的大小。这种测量方法是以流动连续性方程(质量守恒定律)和伯努利方程(能量守恒定律)为基础的。压差的大小不仅与流量还与其他许多因素有关,例如当节流装置形式或管道内流体的物理性质(密度、粘度)不同时,在同样大小的流量下产生的压差也是不同的。

传感器通过一定的设计结构或按规定安装,把压力前后相差的变化转换传感器内置压敏元件的变化,再把输出由压敏元件形变产生微弱信号进行处理调制或再通过模数转换和芯片运算处理,输出模拟信号或数字信号。
例:电容式差压变送器(差压传感器)的工作原理:压力变送器被测介质的两种压力通入高、低两压力室,作用在δ元件(即敏感元件)的两侧隔离膜片上,通过隔离片和元件内的填充液传送到测量膜片两侧。测量膜片与两侧绝缘片上的电极各组成一个电容器。
当两侧压力不一致时,致使测量膜片产生位移,其位移量和压力差成正比,故两侧电容量就不等,通过振荡和解调环节,转换成与压力成正比的信号。接着进行信号调制得到调制电流,A/D转换器将解调器的电流转换成数字信号,其值被微处理器用来判定输入压力值。微处理器控制变送器的工作。另外,它进行传感器线性化,重置测量范围,工程单位换算、阻尼、开方,传感器微调等运算,以及诊断和数字通信。从而进行显示,控制用。

式中qm-- 质量流量, kg/s;
qv-- 体积流量, m3/s;
C-- 流出系数;
ε-- 可膨胀性系数;
β-- 直径比, β=d/D; % N 7H / h: o2
d-- 工作条件下节流件的孔径, m;
D-- 工作条件下上游管道内径, m ;
△P-- 差压, Pa;
ρl-- 上游流体密度, kg/m3 。
由上式可见,流量为C、ε、d、ρ、△P、β(D)6 个参数的函数,此6 个参数可分为实测量[d,ρ,△P,β(D)] 和统计量(C 、ε)两类。
(1) 实测量
1)d 、D 式(4 .1) 中d 与流量为平方关系,其精确度对流量总精度影响较大,误差值一般应控制在±0.05 %左右,还应计及工作温度对材料热膨胀的影响。标准规定管道内径D 必须实测,需在上游管段的几个截面上进行多次测量求其平均值,误差不应大于±0.3 %。除对数值测量精度要求较高外, 还应考虑内径偏差会对节流件上游通道造成不正常节流现象所带来的严重影响。因此,当不是成套供应节流装置时,在现场配管应充分注意这个问题。
2)ρ ρ在流量方程中与△ P 是处于同等位置,亦就是说,当追求差压变送器高精度等级时,绝不要忘记ρ的测量精度亦应与之相匹配。否则△ P 的提高将会被ρ的降低所抵消。
3) △P 差压△ P 的精确测量不应只限于选用一台高精度差压变送器。实际上差压变送器能否接受到真实的差压值还决定于一系列因素,其中正确的取压孔及引压管线的制造、安装及使用是保证获得真实差压值的关键, 这些影响因素很多是难以定量或定性确定的, 只有加强制造及安装的规范化工作才能达到目的。
(2) 统计量
1)C 统计量C 是无法实测的量( 指按标准设计制造安装, 不经校准使用) ,在现场使用时最复杂的情况出现在实际的C 值与标准确定的C 值不相符合。它们的偏离是由设计、制造、安装及使用一系列因素造成的。应该明确,上述各环节全部严格遵循标准的规定, 其实际值才会与标准确定的值相符合,现场是难以完全满足这种要求的。
应该指出,与标准条件的偏离,有的可定量估算( 可进行修正) ,有的只能定性估计( 不确定度的幅值与方向) 。但是在现实中,有时不仅是一个条件偏离, 这就带来非常复杂的情况, 因为一般资料中只介绍某一条件偏离引起的误差。如果许多条件同时偏离, 则缺少相关的资料可查。
2)ε 可膨胀性系数ε是对流体通过节流件时密度发生变化而引起的流出系数变化的修正, 它的误差由两部分组成: 其一为常用流量下ε的误差, 即标准确定值的误差; 其二为由于流量变化ε值将随之波动带来的误差。一般在低静压高差压情况, ε值有不可忽略的误差。当△P/P≤0.04 时,ε的误差可忽略不计。
转向辅助灯和自动转向灯的对比 各有何作用
时间:2026-03-16
浅谈接近与环境光强度数字传感器-APDS9930
时间:2026-03-16
详解DHT11数字温湿度传感器实验
时间:2026-03-16
详解Arduino GY-30数字光强传感器应用
时间:2026-03-16
浅析数字传感器的现在与未来
时间:2026-03-16
浅析CC2530下ZigBee协议栈中添加BH1750数字...
时间:2026-03-16
自动大灯远近光原理 自动大灯正确使用方法
时间:2026-03-16
热电偶为什么要冷端补偿
时间:2026-03-16
ZMOD4410总挥发性有机物和室内空气质量传感...
时间:2026-03-16
矽睿科技完成B轮融资 成立新一届董事会
时间:2026-03-16
玻璃釉电容器的结构与特点
时间:2026-03-05
电阻的标称阻值和允许偏差
时间:2026-03-05
石英灯电子变压器电路原理
时间:2026-03-06
变压器并列运行的条件浅析
时间:2026-03-06
关于STM32WL LSE 添加反馈电阻后无法起振的...
时间:2026-03-05
可调电阻怎么接线
时间:2026-03-05
压敏电阻有正负极吗
时间:2026-03-05
碳膜电阻如何识别_金属膜电阻器和碳膜电阻器...
时间:2026-03-05
晶体三极管放大电路的非线形失真及其解决办...
时间:2026-03-07
怎样测试三极管的好坏,NPN三极管如何知道是...
时间:2026-03-07