传感器(英文名称:transducer/sensor)是一种检测装置,能感受到被测量的信息,并能将感受到的信息,按一定规律变换成为电信号或其他所需形式的信息输出,以满足信息的传输、处理、存储、显示、记录和控制等要求。传感器的特点包括:微型化、数字化、智能化、多功能化、系统化、网络化。它是实现自动检测和自动控制的首要环节。
人类借助感觉器官从外界获取信息,而机器则借助传感器来研究自然现象规律及生产生活。为了适应各种各样的情况,传感器也分成不同的种类,可以说传感器就是机器的五感,更是人类五感的延伸。传感器可完成信息的传输、处理、存储、显示、记录、控制等多重要求,具有微型化、数字化、智能化等多种功能,是实现自动化的第一环。它应用在工作生活中的方方面面。
1、温度传感器:是指能感受温度并转换成可用输出信号的传感器。温度传感器是温度测量仪表的核心部分,品种繁多。按测量方式可分为接触式和非接触式两大类,按照传感器材料及电子元件特性分为热电阻和热电偶两类。
温度传感器是最早开发,应用最广的一类传感器。温度传感器的市场份额大大超过了其他的传感器。从17世纪初人们开始利用温度进行测量。在半导体技术的支持下,本世纪相继 开发了半导体热电偶传感器、PN结温度传感器和集成温度传感器。
2、压力传感器:是工业实践中最为常用的一种传感器,其广泛应用于各种工业自控环境,涉及水利水电、铁路交通、智能建筑、生产自控、航空航天、军工、石化、油井、电力、船舶、机床、管道等众多行业,下面就简单介绍一些常用传感器原理及其应用。另有医用压力传感器。
压力传感器主要应用于增压缸、增压器、气液增压缸、气液增压器、压力机,压缩机,空调制冷设备等领域。
3、液位传感器:是一种测量液位的压力传感器。静压投入式液位变送器(液位计)是基于所测液体静压与该液体的高度成比例的原理,采用国外先进的隔离型扩散硅敏感元件或陶瓷电容压力敏感传感器,将静压转换为电信号,再经过温度补偿和线性修正,转化成标准电信号。
液位传感器适用于石油化工、冶金、电力、制药、供排水、环保等系统和行业的各种介质的液位测量。
4、电容式物位传感器:利用被测介质面的变化引起电容变化的一种变介质型电容传感器。具有可靠性高,安装方便等特点,可广泛应用于冶金、采矿、等部门作料位控制,是应用最广的一种物位传感器。
因为电容量电容量是连续变化的,因此该传感器可以用作连续式物位测量,也可用作物位开关,作为报警或喂料、卸料设备的输入信号。
5、超声波传感器:是利用超声波的特性研制而成的传感器。超声波是一种振动频率高于声波的机械波,由换能晶片在电压的激励下发生振动产生的,它具有频率高、波长短、绕射现象小,特别是方向性好、能够成为射线而定向传播等特点。超声波对液体、固体的穿透本领很大,尤其是在阳光不透明的固体中,它可穿透几十米的深度。
超声波传感技术应用在生产实践的不同方面,而医学应用是其最主要的应用之一。超声波传感器可以对集装箱状态进行探测。超声波传感器可用于检测透明物体、液体、任何表粗糙、光滑、光的密致材料和不规则物体。超声波传感器可以应用于食品加工厂,实现塑料包装检测的闭环控制系统。超声波传感器可用于探测液位、探测透明物体和材料,控制张力以及测量距离,主要为包装、制瓶、物料搬检验煤的设备运、塑料加工以及汽车行业等。
NPN型与PNP型分类
1、NPN(源型):当导通时输出低电平
当导通时,信号输出线out和0v线连接,相当于输出低电平:0V。

NPN型传感器根据安装逻辑方式不同分为3小类
NPN-NO(常开型):不接通时无输出;接通时输出高电平;
NPN-NC(常闭型):不接通时输出高电平;接通时无输出;
NPN-NC+NO(常开、常闭共有型):两个out输出端(一开一闭)。
2、PNP(漏型):当导通时输出高电平
当导通时,信号输出线out和电源线VCC连接,相当于输出高电平的电源线,24V。

PNP型传感器根据安装逻辑方式不同分为3小类:
PNP-NO(常开型):不接通时无输出;接通时输出低电平;
PNP-NC(常闭型):不接通时输出低电平;接通时无输出;
PNP-NC+NO(常开、常闭共有型):两个out输出端(一开一闭)。
NPN型与PNP型的区别
PNP与NPN型传感器其实就是利用三极管的饱和和截止,输出两种状态,属于开关型传感器。但输出信号是截然相反的,即高电平和低电平。PNP输出是低电平0,NPN输出的是高电平1。
PNP与NPN型传感器(开关型)分为六类:
1、NPN-NO(常开型)
2、NPN-NC(常闭型)
3、NPN-NC+NO(常开、常闭共有型)
4、PNP-NO(常开型)
5、PNP-NC(常闭型)
6、PNP-NC+NO(常开、常闭共有型)
PNP与NPN型传感器一般有三条引出线,即电源线VCC、0V线,out信号输出线。
1、NPN类
NPN是指当有信号触发时,信号输出线out和电源线VCC连接,相当于输出高电平的电源线。
对于NPN-NO型,在没有信号触发时,输出线是悬空的,就是VCC电源线和out线断开。有信号触发时,发出与VCC电源线相同的电压,也就是out线和电源线VCC连接,输出高电平VCC。
对于NPN-NC型,在没有信号触发时,发出与VCC电源线相同的电压,也就是out线和电源线VCC连接,输出高电平VCC。当有信号触发后,输出线是悬空的,就是VCC电源线和out线断开。
对于NPN-NC+NO型,其实就是多出一个输出线OUT,根据需要取舍。
2、PNP类
PNP是指当有信号触发时,信号输出线out和0v线连接,相当于输出低电平,ov。
对于PNP-NO型,在没有信号触发时,输出线是悬空的,就是0v线和out线断开。有信号触发时,发出与OV相同的电压,也就是out线和0V线连接,输出输出低电平OV。
对于PNP-NC型,在没有信号触发时,发出与0V线相同的电压,也就是out线和0V线连接,输出低电平0V。当有信号触发后,输出线是悬空的,就是0V线和out线断开。
对于PNP-NC+NO型,和NPN-NC+NO型类似,多出一个输出线OUT,及两条信号反相的输出线,根据需要取舍。
我们一般常用的是NPN型,即高电平有效状态。PNP很少使用。
传感器静态特性描述

电位器输出电压u与输入被测量p的关系

一般意义下


y、x——传感器的输出、输入

传感器的静态性能指标
1. 测量范围与量程
(1)测量范围


(2)量程

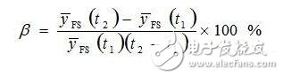
2. 静态灵敏度

关于静态灵敏度的讨论



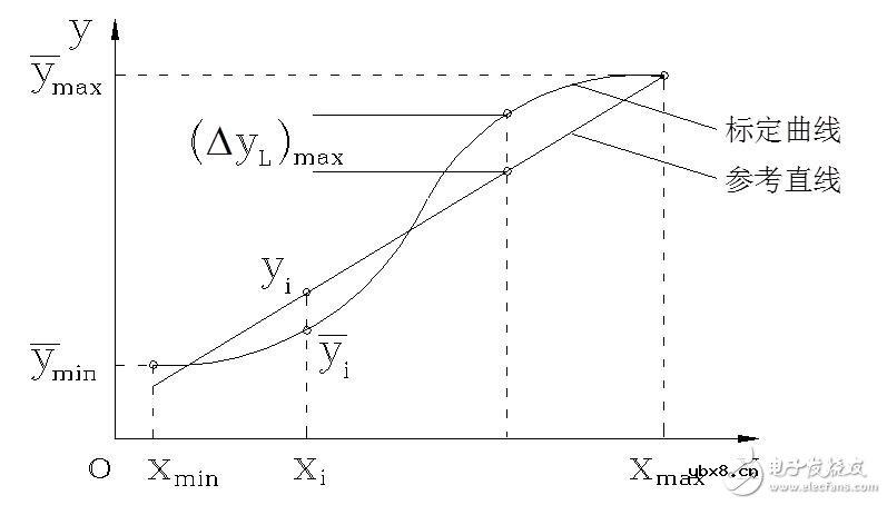
3. 分辨力与分辨率
某一测点分辨力

某一测点分辨率

针对全测量范围的分辨力
max〡

新型植入式气体传感器问世,可在人体内溶解
时间:2026-03-16
美国康奈尔大学官网
时间:2026-03-16
差压传感器的典型应用_差压传感器的安装
时间:2026-03-16
建筑物中的物联网传感器可以做什么?
时间:2026-03-16
物位传感器有哪些_物位传感器的实际应用
时间:2026-03-16
物位传感器的工作原理_物位传感器的特点
时间:2026-03-16
陀螺仪传感器的分类_陀螺仪传感器有什么用
时间:2026-03-16
模糊传感器的结构_模糊传感器的应用
时间:2026-03-16
小米重磅发布人体传感器2
时间:2026-03-16
中小企业受困 CIS 芯片缺货
时间:2026-03-16
玻璃釉电容器的结构与特点
时间:2026-03-05
电阻的标称阻值和允许偏差
时间:2026-03-05
石英灯电子变压器电路原理
时间:2026-03-06
变压器并列运行的条件浅析
时间:2026-03-06
关于STM32WL LSE 添加反馈电阻后无法起振的...
时间:2026-03-05
可调电阻怎么接线
时间:2026-03-05
压敏电阻有正负极吗
时间:2026-03-05
碳膜电阻如何识别_金属膜电阻器和碳膜电阻器...
时间:2026-03-05
晶体三极管放大电路的非线形失真及其解决办...
时间:2026-03-07
怎样测试三极管的好坏,NPN三极管如何知道是...
时间:2026-03-07