热敏电阻阻温特性
用规格的阻温特性表 (单位:KΩ)
NTC负温度系数热敏电阻专业术语
零功率电阻值 RT(Ω)
RT指在规定温度 T 时,采用引起电阻值变化相对于总的测量误差来说可以忽略不计的测量功率测得的电阻值。
电阻值和温度变化的关系式为:
RT = RN expB(1/T – 1/TN)
RT :在温度 T ( K )时的 NTC 热敏电阻阻值。
RN :在额定温度 TN ( K )时的 NTC 热敏电阻阻值。
T :规定温度( K )。
B : NTC 热敏电阻的材料常数,又叫热敏指数。
exp :以自然数 e 为底的指数( e = 2.71828 …)。
该关系式是经验公式,只在额定温度 TN 或额定电阻阻值 RN 的有限范围内才具有一定的精确度,因为材料常数 B 本身也是温度 T 的函数。
额定零功率电阻值 R25 (Ω)
根据国标规定,额定零功率电阻值是 NTC 热敏电阻在基准温度 25 ℃ 时测得的电阻值 R25,这个电阻值就是 NTC 热敏电阻的标称电阻值。通常所说 NTC 热敏电阻多少阻值,亦指该值。
材料常数(热敏指数) B 值( K )
B 值被定义为:

RT1 :温度 T1 ( K )时的零功率电阻值。
RT2 :温度 T2 ( K )时的零功率电阻值。
T1, T2 :两个被指定的温度( K )。
对于常用的 NTC 热敏电阻, B 值范围一般在 2000K ~ 6000K 之间。
零功率电阻温度系数(αT )
在规定温度下, NTC 热敏电阻零动功率电阻值的相对变化与引起该变化的温度变化值之比值。

αT :温度 T ( K )时的零功率电阻温度系数。
RT :温度 T ( K )时的零功率电阻值。
T :温度( T )。
B :材料常数。
耗散系数(δ)
在规定环境温度下, NTC 热敏电阻耗散系数是电阻中耗散的功率变化与电阻体相应的温度变化之比值。

δ: NTC 热敏电阻耗散系数,( mW/ K )。
△ P : NTC 热敏电阻消耗的功率( mW )。
△ T : NTC 热敏电阻消耗功率△ P 时,电阻体相应的温度变化( K )。
热时间常数(τ)
在零功率条件下,当温度突变时,热敏电阻的温度变化了始未两个温度差的 63.2% 时所需的时间,热时间常数与 NTC 热敏电阻的热容量成正比,与其耗散系数成反比。

τ:热时间常数( S )。
C: NTC 热敏电阻的热容量。
δ: NTC 热敏电阻的耗散系数。
额定功率Pn
在规定的技术条件下,热敏电阻器长期连续工作所允许消耗的功率。在此功率下,电阻体自身温度不超过其最高工作温度。
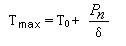
最高工作温度Tmax
在规定的技术条件下,热敏电阻器能长期连续工作所允许的最高温度。即:

T0-环境温度。
测量功率Pm
热敏电阻在规定的环境温度下, 阻体受测量电流加热引起的阻值变化相对于总的测量误差来说可以忽略不计时所消耗的功率。
一般要求阻值变化大于0.1%,则这时的测量功率Pm为:

电阻温度特性
NTC热敏电阻的温度特性可用下式近似表示:

式中:
RT:温度T时零功率电阻值。
A:与热敏电阻器材料物理特性及几何尺寸有关的系数。
B:B值。
T:温度(k)。
更精确的表达式为:
式中:RT:热敏电阻器在温度T时的零功率电阻值。
T:为绝对温度值,K;
A、B、C、D:为特定的常数。
电感器设计流程和见解
时间:2026-05-01
什么是触发器?触发器的作用是什么?
时间:2026-05-01
什么是电源?电源是如何进行分类的?
时间:2026-05-01
电驱动NVH的特点和结构
时间:2026-05-01
什么是霍尔传感器?
时间:2026-05-01
电负性的计算方法
时间:2026-04-30
电导的定义_电导的单位_电导怎么算
时间:2026-04-30
什么是计数器_计数器的作用
时间:2026-04-30
什么是欧姆定律_欧姆定律公式
时间:2026-04-30
RAID是什么?RAID有哪些?
时间:2026-04-30
电阻的原理和作用 电阻色环识别图 电路中电...
时间:2026-03-09
NVIDIA CPU+GPU超级芯片大升级!
时间:2026-03-09
什么是室温超导?半导体时代将走向结束?芯...
时间:2026-03-09
石英灯电子变压器电路原理
时间:2026-03-06
什么是硅片或者晶圆?一文了解半导体硅晶圆
时间:2026-03-09
半导体光刻工艺 光刻—半导体电路的绘制
时间:2026-03-09
一文详解MOS管驱动电路拓扑的设计
时间:2026-03-09
汽车芯片业应汲取的教训
时间:2026-03-09
压敏电阻型号的含义
时间:2026-03-05
半导体行业之ICT技术简介
时间:2026-03-09