热敏电阻通常是用半导体材料制成的,它的电阻随温度变化而急剧变化。热敏电阻分为负温度系数(NTC)热敏电阻和正温度系数(PTC)热敏电阻两种。NTC热敏电阻的体积很小,其阻值随温度变化比金属电阻要灵敏得多,因此,它被广泛用于温度测量、温度控制以及电路中的温度补偿、时间延迟等。PTC热敏电阻分为陶瓷PTC热敏电阻及有机材料PTC热敏电阻两类。PTC热敏电阻是20世纪80年代初发展起来的一种新型材料电阻器,它的特点是存在一个“突变点温度”,当这种材料的温度超过突变点温度时,其阻值可急剧增加5-6个数量级,(例如由101Ω急增到107Ω以上),因而具有极其广泛的应用价值。
近年来,我国在PTC热敏电阻器件开发与应用方面有了很大发展,陶瓷PTC热敏电阻由于其工作功率较大及耐高温性好,已被应用于工业机械、冰箱等作电流过载保护,并可替代镍铬电热丝作恒温加热器和控温电路,用于自热式电蚊香加热器、新型自动控温烘干机、各种电加热器等一系列安全可靠的家用电器;而有机材料PTC的热敏电阻具有动作时间短、体积小、阻值低等特点,现已被用于国内电话程控交换机、便携式电脑、手提式无绳电话等高科技领域作过载保护,应用范围很广。
本实验用温度计和直流电桥测定热敏电阻器与温度的关系,要求掌握NTC热敏电阻器的阻值与温度的关系特性、并学会通过数据处理来求得经验公式的方法。
1. 负温度系数热敏电阻器的电阻-温度特性
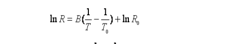
NTC热敏电阻通常由Mg、Ni、Cr、Co、Fe、Cu等金属氧化物中的2-3种均匀混合压制后,在600-1500oC温度下烧结而成,由这类金属氧化物半导体制成的热敏电阻,具有很大的负温度系数。在一定的温度范围内,NTC热敏电阻的阻值与温度关系满足下列经验公式:

式中,R为该热敏电阻在热力学温度T时的电阻值,R0为热敏电阻处于热力学温度T0时的阻值。B是材料常数,它不仅与材料性质有关,而且与温度有关,在一个不太大的范围内,B是常数。
由(1)式可求得,NTC热敏电阻在热力学温度T0时的电阻温度系数α

由(2)式可知,NTC热敏电阻的电阻温度系数是热力学温度的平方有关的量,在不同温度下,α值不相同。
对(1)式两边取对数,得

在一定温度范围内,

2. 正温度系数热敏电阻器的电阻-温度特性 (选做内容) PTC热敏电阻具有独特的电阻-温度特性,这一性质是由于其微观结构决定的。当温度升高超过PTC热敏电阻突变点温度时,其材料结构发生了突变,它的电阻值有明显变化,可以从10一次方Ω变化到10的七次方Ω,PTC热敏电阻的温度大于突变点温度时的阻值随温度变化符合如下经验公式:

其中,T为样品的热力学温度,T0为初始温度,R为样品在温度T时的电阻值,R0为样品在温度T0时的电阻值,A的值在某一范围内近似为常数。
对陶瓷PTC热敏电阻,在小于突变点温度时,电阻与温度关系满足(1)式,为负温度系数性质,在大于突变点温度时,满足(3)式,为正温度系数热敏电阻,此突变点温度常称为居里点。而对有机材料PTC热敏电阻,在突变点温度上下均为正温度系数性质,但是其常数A也在突变点发生了突变,即A值在温度高于突变点后明显激增。
本实验器材包恒温器、搅拌器、温度计、热敏电阻、小试管、电阻箱三只、干电池一节、检流计等。热敏电阻放置在可变温度的恒温器中,用温度计测量温度。将电阻箱、干电池、检流计用连接线接成电桥,测出热敏电阻的阻值。

1.把NTC热敏电阻和玻璃温度计一起插在盛有变压器油的玻璃小试管内,试管置于盛有水的可控恒温槽中,当NTC热敏电阻、玻璃温度计和水温达到平衡时,用玻璃温度计测出NTC热敏电阻的温度θ,如图所示的电路测量NTC热敏电阻的阻值R0(注意:热敏电阻的电流应小于300μA, 避免热敏电阻自己发热对实验测量的影响。此时直流电桥臂往往不能严格取1:1比例,直流电源最大取1.5V)
2.先测出室温时(将NTC热敏电阻和温度计等插入室温水中)温度θ和NTC热敏电阻阻值R0.然后逐步增加恒温槽温度,每当温度达到稳定时,测量相应的一组θi与Ri的值。要求温度从70oC范围内测出8-10组数据。用公式T=273.15+θ,将摄氏温度θ换算成热力学温度T.
3. 用最小二乘法求出温度在室温70oC范围内的材料常数B.
4.用公式(2)计算NTC热敏电阻在温度θ=50.0oC时的电阻温度系数。
电桥臂RA、RB是规格为0.1级0-9999Ω的电阻箱,调节电阻Rs 为0.1级0-9999.9Ω的电阻箱,电源为1.5V.在室温至70oC范围内,电阻值大于9000Ω。所以满足RT+Rs≥5000Ω,即通过RT热敏电阻电流小于300μA要求。


ds18b20温度传感器介绍,ds18b20优缺点分析
时间:2026-03-16
DS18B20读写操作程序详解
时间:2026-03-16
ds18b20的C语言程序
时间:2026-03-16
ds18b20负温度,DS18B20数据处理支持负温度
时间:2026-03-16
ds18b20系统结构框图和接线
时间:2026-03-16
ds18b20测温电路图详解
时间:2026-03-16
什么是光电编码器?
时间:2026-03-16
汽车传感器大全、作用以及所有传感器位置图
时间:2026-03-16
74LS273与74LS373的区别
时间:2026-03-16
浅谈虚拟仪器的力传感器标定的原理及程序设...
时间:2026-03-16
玻璃釉电容器的结构与特点
时间:2026-03-05
电阻的标称阻值和允许偏差
时间:2026-03-05
石英灯电子变压器电路原理
时间:2026-03-06
变压器并列运行的条件浅析
时间:2026-03-06
关于STM32WL LSE 添加反馈电阻后无法起振的...
时间:2026-03-05
压敏电阻有正负极吗
时间:2026-03-05
碳膜电阻如何识别_金属膜电阻器和碳膜电阻器...
时间:2026-03-05
晶体三极管放大电路的非线形失真及其解决办...
时间:2026-03-07
怎样测试三极管的好坏,NPN三极管如何知道是...
时间:2026-03-07
变压器的常用型号如何标识?变压器的有载如...
时间:2026-03-06