石英晶体振荡器有并联型晶体振荡器和串联型晶体振荡器两类。
并联型晶体振荡器中,石英晶体以并联谐振的形式出现,起电感作用。
串联型晶体振荡器中,石英晶体以串联谐振的形式出现,起电阻作用
石英振荡器电路实例
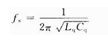
石英晶体振荡器是利用石英晶体压电效应制成的一种谐振器件;图3是其等效电路,Lq,Cq为晶片振动时的等效动态电感和电容,Rq等效为晶片振动时的摩擦损耗,C0为静态电容。石英晶体有两个谐振频率。串联上支路发生串联谐振时的频率:

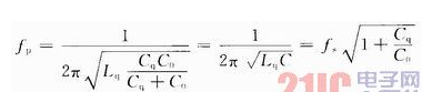
由于C0很小,谐振等效阻抗近似为Rq,呈纯阻性,其阻值很小。当频率高于fs小于fp时。串联上支路呈感性,并与C0发生并联谐振,其谐振频率:

式中C为C0和Cq串联后的电容。
由上述分析;石英晶体工作在略高于呈感性的频段内,用来作为三点式电路中的回路电感,构成并联晶体振荡器;工作在fs上,等效为串联谐振电路,构成串联晶体振荡器。设计并联型石英晶体振荡器如图4所示

振荡电路的选频网络由石英晶体和C3,C4组成。振荡频率可表示为:

振荡频率基本由晶体固有频率决定,与C’的关系很小,即由电容C1,C2不稳定而引起的频率漂移很小,振荡频率稳定度很高。在Orcad/PSpice中对电路进行瞬态分析,Probe中可清晰地看到晶体振荡发生电路的稳幅波形,如图5所示。

振荡频率基本由晶体固有频率决定,与C’的关系很小,即由电容C1,C2不稳定而引起的频率漂移很小,振荡频率稳定度很高。在Orcad/PSpice中对电路进行瞬态分析,Probe中可清晰地看到晶体振荡发生电路的稳幅波形,如图5所示。
工业4.0:称重传感器行业的“四一八”
时间:2026-03-16
大联大世平集团推出智能手机之指纹识别和高...
时间:2026-03-16
大联大友尚集团推出先进的ST新款动作传感器
时间:2026-03-16
Littelfuse公司的新型压装式舌簧传感器安装...
时间:2026-03-16
Dialog公司推出最低功耗的12自由度蓝牙智能...
时间:2026-03-16
SMI推出高稳定性、高精度的中等压力传感器
时间:2026-03-16
大联大品佳集团力推Liteon(光宝科技)应用...
时间:2026-03-16
Molex 为集成传感器系统提供全套印刷型传感...
时间:2026-03-16
Mouser备货业界最小的IO-Link设备收发器Max...
时间:2026-03-16
宇航员可穿戴感应器 Hexoskin助力监控生命体...
时间:2026-03-16
玻璃釉电容器的结构与特点
时间:2026-03-05
电阻的标称阻值和允许偏差
时间:2026-03-05
石英灯电子变压器电路原理
时间:2026-03-06
变压器并列运行的条件浅析
时间:2026-03-06
关于STM32WL LSE 添加反馈电阻后无法起振的...
时间:2026-03-05
压敏电阻有正负极吗
时间:2026-03-05
碳膜电阻如何识别_金属膜电阻器和碳膜电阻器...
时间:2026-03-05
晶体三极管放大电路的非线形失真及其解决办...
时间:2026-03-07
怎样测试三极管的好坏,NPN三极管如何知道是...
时间:2026-03-07
变压器的常用型号如何标识?变压器的有载如...
时间:2026-03-06