监控板可以实时检测LED显示屏所处环境的温度、相对湿度,是否有烟雾等信息,并将测得参数信息上传至控制计算机,监控软件会将这些信息显示在界面上。这就使得各个灯箱的工作情况和环境参数呈现出来,便于监测和管理。
选取STC的一款单片机作为核心处理器件,该单片机带有8路的A/D通道,因为所要测量的都是模拟量,需要转换为数字量才能处理。测量温度可用热敏电阻或者DS18B20,DS18B20数字式的温度传感器,精度高。考虑到DS18B20的操作较为复杂,占用单片机较大的程序空间,而监控板要求的温度精度并不高,所以采用热敏电阻作为温度传感器件。常用的相对湿度传感器有湿敏电阻和湿敏电容等方式。用湿敏电容和555定时器组合的方式,程序上容易实现且相对稳定。烟雾传感器有光电式和离子式两种,经比较发现,离子式的烟雾传感器价格略高,但处理程序较简单,占用的程序空间较小,所以采用离子式烟雾传感器。
1、系统框图
自身带A/D转换功能的单片机可以作为处理器,再配合温度传感器、湿度传感器和烟雾传感器就可以实现对这3种环境参数的采集和测量。

图1 系统框图
2、温度采集模块
考虑到实际境况中对温度测量的精度要求不是很高而且要控制成本,选用负温度系数的热敏电阻作为温度传感器。图2反映的是该热敏电阻值与温度的对应关系。
实际电路中,采用热敏电阻和高精度电阻分压的方法,将它们的连接端接入单片机带A/D功能的引脚。该单片机有8路10位高精度A/D转换器,速度可达100kHz。因此可以省略A/D转换电路的设计,将硬件电路功能通过软件实现。当温度发生变化的时候,R44的阻值就发生变化,经过分压后,输出TEM_TEST电压信号变化,单片机A/D采样值随之发生变化。将图转换成一张表格存储在单片机的代码段里,按照得到的A/D采样值查表,用差值的方法就可以得到当前的温度值。

图2 实际的热敏电阻温度特性
3、相对湿度采集模块
湿度传感器选用湿敏电容,其容值随湿度的变化而变化。如图3所示。

图3 湿度响应曲线
湿度传感电路设计,如图4所示。

图4 湿度传感电路
湿敏电容和TLC555配合使用可以完成相对湿度的测量。TLC555具有定时精度高,工作速度和可靠性高,电源电压范围宽,结构简单等特点。它内部由R-S触发器、比较器、输出级、分压器、放电电子开关几部分组成。如图4所示,C8为湿度传感器,它和R24,R36,R38,TLC555组成了非稳态的间接反馈多谐振荡器,将相对湿度转换成频率信号。输出频率范围是7351~6033Hz,所对应的相对湿度为0~100%。
TLC555充、放电时间分别为:

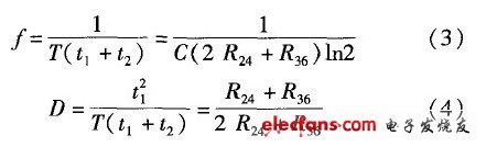
输出波形的频率f和占空比D的计算公式如下:

通常取R36nR24,使得D≈50%,输出接近于方波。
当相对湿度变化时,湿敏电容的容值随之发生变化,进而TLC555输出波形的频率发生变化,单片机根据得到的频率再通过插值法得到当前的相对湿度值。输出方波频率与相对湿度的数据如表1所示。
表1 输出方波频率与相对湿度的数据对照表

什么是PCA?何时应该使用PCA?
时间:2026-04-28
仪表放大器放大倍数分析
时间:2026-04-28
射频微波设计入门
时间:2026-04-28
变压器结构
时间:2026-04-28
8种进行简单线性回归的方法分析与讨论
时间:2026-04-28
什么是RS485通信接口
时间:2026-04-28
简单的上色装置
时间:2026-04-26
液晶屏对比度温度补偿
时间:2026-04-26
双输入视频多路复用的电缆驱动器
时间:2026-04-26
带有75Ω负载的抗阻匹配线路驱动器
时间:2026-04-26
NVIDIA CPU+GPU超级芯片大升级!
时间:2026-03-09
电阻的原理和作用 电阻色环识别图 电路中电...
时间:2026-03-09
什么是室温超导?半导体时代将走向结束?芯...
时间:2026-03-09
石英灯电子变压器电路原理
时间:2026-03-06
半导体光刻工艺 光刻—半导体电路的绘制
时间:2026-03-09
什么是硅片或者晶圆?一文了解半导体硅晶圆
时间:2026-03-09
汽车芯片业应汲取的教训
时间:2026-03-09
半导体行业之ICT技术简介
时间:2026-03-09
压敏电阻有正负极吗
时间:2026-03-05
实用模拟电路小常识浅析
时间:2026-03-09