集成运算放大器构成交流放大电路的分析和设计
0 引言
集成运算放大器(简称集成运放或运放)在电子电路中应用非常广泛。运放的多数典型应用电路在各类电子技术教科书中都有详细和深入的分析,而用集成运放构成交流信号放大电路很多教科书却没有介绍,有些教科书虽有介绍,但是介绍简单,分析不全面。用集成运放构成的交流放大电路具有线路简单、免调试、故障率低等优点,如今许多电子产品中的交流放大电路普遍采用运放构成,全面分析集成运放构成的各种交流放大电路的组成和参数计算,有助于对该类电路的检修,以及合理设计和使用集成运放构成的交流放大电路。
1 运放交流放大电路的分析
1.1 使用双电源的运放交流放大电路
为了使运放在零输入时零输出,运放的内部电路是按使用双电源的要求来设计的。运放交流放大电路采用双电源供电,可以增大动态范围。
1.1.1 双电源同相输入式交流放大电路
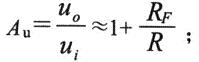
图1是使用双电源的同相输入式交流放大电路。两组电源电压VCC和VEE相等。C1和C2为输入和输出耦合电容;R1使运放同相输入端形成直流通路,内部的差分管得到必要的输入偏置电流;RF引入直流和交流负反馈,并使集成运放反相输入端形成直流通路,内部的差分管得到必要的输入偏置电流;由于C隔直流,使直流形成全反馈,交流通过R和C分流,形成交流部分反馈,为电压串联负反馈。引入直流全反馈和交流部分反馈后,可在交流电压增益较大时,仍能够使直流电压增益很小(为1倍),从而避免输入失调电流造成运放的饱和。

无信号输入时,运放输出端的电压V0≈0V,交流放大电路的输出电压U0=0V;交流信号输入时,运放输出端的电压V0在-VEE~+VCC之间变化,通过C2输出放大的交流信号,输出电压uo的幅值近似为VCC(VCC=VEE)。引入深度电压串联负反馈后,放大电路的电压增益

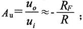
1.1.2 双电源反相输入式交流放大电路
图2是使用双电源的反相输入式交流放大电路。两组电源电压VCC和VEE相等。RF引入直流和交流负反馈,C1隔直流,使直流形成全反馈,交流通过R和C1分流,形成交流部分反馈,为电压并联负反馈。为了减小运放输入偏置电流造成的零点漂移,可以选择R1=RF。引入深度电压并联负反馈后,放大电路的电压增益为


1.2 使用单电源的运放交流放大电路
在采用电容耦合的交流放大电路中,静态时,当集成运放输出端的直流电压不为零时,由于输出耦合电容的隔直流作用,放大电路输出的电压仍为零。所以不需要集成运放满足零输入时零输出的要求。因此,集成运放可以采用单电源供电,其-VEE端接"地"(即直流电源负极),集成运放的+Vcc端接直流电源正极,这时,运放输出端的电压V0只能在0~+Vcc之间变化。在单电源供电的运放交流放大电路中,为了不使放大后的交流信号产生失真,静态时,一般要将运放输出端的电压V0设置在0至+Vcc值的中间,即V0=+Vcc/2。这样能够得到较大的动态范围;动态时,V0在+Vcc/2值的基础上,上增至接近+Vcc值,下降至接近0V,输出电压uo的幅值近似为Vcc/2。
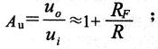
1.2.1 单电源同相输入式交流放大电路
图3是使用单电源的同相输入式交流放大电路。电源Vcc通过R1和R2分压,使运放同相输入端电位由于C隔直流,使RF引入直流全负反馈。所以,静态时运放输出端的电压V0=V-≈V+=+Vcc/2;C通交流,使RF引入交流部分负反馈,是电压串联负反馈。放大电路的电压增益为
放大电路的输入电阻Ri=R1/R2/rif≈R1/R2,
放大电路的输出电阻R0=r0f≈0。

1.2.2 单电源反相输入式交流放大电路
图4是使用单电源的反相输入式交流放大电路。电源V cc通过R1和R 2分压,使运放同相输入端电位



在设计单级运放交流放大电路时,
(1)选择能够满足使用要求的集成运算放大器。在采用电容耦合的交流放大电路中,由于电容隔直流,交流放大电路输出的温度漂移电压很小。因此,对集成运放漂移性能的要求可以降低,主要从转换速率、增益带宽、噪声等方面来考虑选用集成运放。对脉冲信号、宽频带交流信号和视频信号等,应选用转换速率较高、增益带宽至少是最高工作频率10倍的集成运放。对音质要求比较高的音频交流放大电路中常采用高速低噪声的集成运放,如双运放的4558、NE5532等。
(2)确定采用双电源供电还是单电源供电。在使用条件许可的情况下,运放交流放大电路尽量采用双电源供电方式,以增大线性动态范围。当集成运放双电源使用时,正、负电源电压一般要对称。且电源电压不要超过使用极限,电源滤波要好。为了消除电源内阻引起的低频自激,常常在正、负电源接线与地之间分别加0.01~0.1 μF的电容退耦。使用单电源供电时,运放同相输入端电位要小于该运放的最大共模输入电压。
(3)确定输入信号是同相输入还是反相输入。若要求放大电路的输入电阻比较大,应采用同相输入式交流放大电路。因为反相输入式交流放大电路输入电阻的提高会影响电压增益。由图2或图4相关计算式可知,增大反相输入式交流放大电路输入电阻时,该电路电压增益将减小,且电压增益也会受信号源内阻的影响。所以在设计反相输入式交流放大电路时,有时输入电阻和电压增益的选择难以兼顾。而采用图1或图3同相输入式交流放大电路时,图1中的R1偏置电阻值适当增大,或者图3中的R1和R2分压电阻值适当增大,就能够提高放大电路的输入电阻,而对电压增益无影响。另外,为了有效地提高图3放大电路的输入电阻,可以对电路做一些改进,改进电路如图5所示。

该放大电路输入电阻Ri≈R3,当R3值 图5见原稿选择大时,放大电路输入电阻Ri值就大。所以明显地提高了放大电路的输入电阻。
(4)确定交流放大电路电压增益。单级运放交流放大电路的电压增益Au通常不要超过100倍(40dB)。过高的电压增益不但会使放大电路的通带下降,也容易感应高频噪声或产生自激振荡。如果要得到一个放大倍数比较大的放大器,可用两级等增益的运放电路或者多级等增益的运放电路来实现。
(5)确定交流放大电路中的电阻值。一般应用中阻值在1~100kΩ之间比较合适。高速的应用中阻值在100Ω~1k Ω之间,但会增大电源的消耗。便携设计中阻值在1~10M Ω之间,但会增大系统噪声。先设定图中运放反向输入端R电阻值,根据相关电路的电压增益计算式,再估算出反馈电阻RF的值。最好采用金属膜电阻,以减小内噪声。
(6)确定放大电路中的电容值。信号耦合电容的大小决定放大电路的低频特性。根据交流放大电路信号频率的高低选择耦合电容值。若放大的是低频交流信号,如音频信号,耦合电容值可选择1~22 μF之间;若放大的是高频交流信号,耦合电容值可选择1000pF~0.1 μ F之间。同相输入式交流放大电路引入直流全反馈的隔直流电容值由C=1/20πfR式估算。式中f是输入信号的最低频率。音频信号的最低频率为20Hz,当R≥1k Ω时,经过上式估算,选择C=100 μF时,已经能够满足要求。滤波电容值选择100~1000 μ F之间。
3 结束语
在引入深度交流负反馈的情况下,运放交流放大电路的电压增益、输入电阻等的大小仅与集成运放外接的电阻有关。因此,相对于三极管交流放大电路而言,运放交流放大电路的设计更方便,电路参数的一致性也较好。
什么是PCA?何时应该使用PCA?
时间:2026-04-28
仪表放大器放大倍数分析
时间:2026-04-28
射频微波设计入门
时间:2026-04-28
变压器结构
时间:2026-04-28
8种进行简单线性回归的方法分析与讨论
时间:2026-04-28
什么是RS485通信接口
时间:2026-04-28
简单的上色装置
时间:2026-04-26
液晶屏对比度温度补偿
时间:2026-04-26
双输入视频多路复用的电缆驱动器
时间:2026-04-26
带有75Ω负载的抗阻匹配线路驱动器
时间:2026-04-26
NVIDIA CPU+GPU超级芯片大升级!
时间:2026-03-09
电阻的原理和作用 电阻色环识别图 电路中电...
时间:2026-03-09
什么是室温超导?半导体时代将走向结束?芯...
时间:2026-03-09
石英灯电子变压器电路原理
时间:2026-03-06
半导体光刻工艺 光刻—半导体电路的绘制
时间:2026-03-09
什么是硅片或者晶圆?一文了解半导体硅晶圆
时间:2026-03-09
汽车芯片业应汲取的教训
时间:2026-03-09
半导体行业之ICT技术简介
时间:2026-03-09
压敏电阻有正负极吗
时间:2026-03-05
实用模拟电路小常识浅析
时间:2026-03-09