01
前言
绝缘栅双极型晶体管(IGBT) 是双极型晶体管(BJT) 和场效应晶体管(MOSFET) 的复合器件,IGBT将BJT的电导调制效应引入到VDMOS 的高阻漂移区, 大大改善了器件的导通特性, 同时还具有MOSFET栅极输入阻抗高、开关速度快的特点。很多情况,由于对IGBT关断机理认识不清, 对关断时间随电压和电流的变化规律认识不清, 导致无法解释在使用过程中出现的电流拖尾长、死区时间长等现象, 不能充分发挥IGBT 的性能; 导致IGBT因使用不当, 烧毁。今天我们就IGBT关断时的电流和电压进行简单的叙述。
02
关断机理
IGBT 结构等同于n 沟道MOSFET与pnp晶体管构成的达林顿结构, MOSFET 的漏极与pnp晶体管的基极相连。等效电路和基本结构图如下

IGBT的关断波形如下图所示,大致分为三个阶段:①关断延迟时间td(off);②关断过程中电压上升到10%到电流下降到90%时间Δt;③关断下降时间tf。

IGBT关断时间表达式为
toff=td(off)+Δt +tf
ICE=IMOS+IC(BJT)=Ids+Ice
BJT 是一种电流控制型器件, 发射极e和集电极c传导的工作电流受基极b引入的较小电流的控制, 如等效电路所示, BJT受MOSFET漏极电流控制. 在IGBT关断td(off)和Δt 程中, MOSFET 的门极电压Vgs减小至Miller平台电压Vmr, 漏源电压Vds增大至Vds(max), 而漏源电流Ids保持不变. 由于Ib=Ids, BJT的集射极电流Ice受Ib控制, 所以,在IGBT关断td(off)和Δt过程中, Ice电流仍然保持不变, 如上图所示. 由上式ICE等式可知, IGBT的集射极电流ICE保持不变. 可见, IGBT关断td(off) 和Δt 过程为MOSFET 行为, 所以关断延迟时间td(off) 和Δt如下:
td(off)=RG(CGS+CGD)*ln[gfsVGH/(gfsVGS(th)+Ids(max)]
Δt =((VDM−Von)gfsRGCGD)/(Ids(max)+gfsVGS(th))
其中, RG为栅极驱动电阻, CGS和CGD为栅源和栅漏电容, gfs为栅源跨导, VGH为栅控电压, VGS(th)为阈值电压, Ids(max)为沟道电流的最大值, VDM为漏源电压最大值, Von为MOSFET导通压降。
由上面两个式子可知,IGBT关断td(off)和Δt时间由MOSFET固有参数决定. 所以对于确定的IGBT来说, td(off) 和Δt时间也是确定不变的,IGBT的关断时间toff的变化由电流下降时间tf决定。为了使IGBT从正向导通状态转入正向阻断状态, 必须首先通过外电路对栅电容放电, 使栅电压下降到MOSFET的开启电压Vth以下, 这时, 沟道反型层消失, 沟道电流IMOS迅速下降为零。
如下图

沟道关断后,器件电流几乎在瞬时从I0下降到I1,这一过程称为阶段I;阶段I结束后,n−区的过剩载流子空穴将通过复合消失,这一过程称为阶段II。 因此,IGBT关断后,电流下降时间由两部分组成,阶段I电流ΔI下降时间和阶段II电流I1下降时间。阶段I过程在瞬间发生,时间非常短,而阶段II,n−区过剩载流子空穴复合过程较慢, 因此,会引起IGBT关断过程拖尾电流现象。所以IGBT的关断电流下降时间tf主要由阶段II电流下降时间决定。而阶段II电流下降时间即为n−区过剩载流子复合所需时间。
03
电压对关断的影响
IGBT导通电流由基极电流IB(BJT)和集电极电流IC(BJT)两部分构成。即t<0时,电流表达式,如下式所示:
I=I0=IB+IC=IMOS+IC
当IGBT开始关断, 即t>0时,
I(t)=IC(t)+dQJ2(t)/dt
由上面两个式子可知,在t=0+时刻,
I(0+) =I0;dQJ2(0+)/dt=IMOS
当门极电压为零后, 沟道电流迅速下降为零。由于基区过剩载流子复合的原因,I(t)不能迅速下降为零,这时,I(t)=IC(BJT)(t)。依据电荷控制原理
IC(BJT)(t) =Qp(t)/τtp(t)
其中, Qp(t)为n−区待复合的空穴电荷, τtp(t)为基
区空穴渡越时间。在大注入条件下
τtp(t)=[WB−xd(t)]²/4KADp
其中, WB为基区宽度, xd(t)为耗尽层宽度, KA=Ac=Ae, Ac和Ae分别为pnp晶体管集电区和发射区面积,Dp为基区空穴扩散系数。
在t=0时刻, J2结耗尽层宽度xd≈0,由上式可以得到电流

其中, Qp0为导通稳态时基区空穴电荷.。当关断开始后,沟道电流迅速消失,IMOS→0,得到I1表达式

IC(BJT)=βIB(BJT) =βIMOS
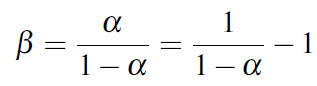
其中, β为BJT电流放大系数,β=Ic/Ib。
可以推导出


耗尽层宽度的最大值xdm为

其中,VR为施加在耗尽层上的反偏电压的大小,εs为半导体介电常数,Vbi为热平衡状态下内建电势差,Na为受主杂质原子密度,Nd为施主杂质原子密度。上式表明,耗尽层宽度随施加反偏电压的增大而增大,由于VR 与VCE成正比,即随着VCE 的增大,J2结耗尽层宽度逐渐增大。ΔI 的大小与耗尽层宽度xdm 成反比, 所以, 随着VCE的增大, ΔI变小,若保持导通电流I0不变,则I1增大。进而,关断时间延长。因此,电流相同时,VCE越大,关断时间越长。
04
电流对关断的影响
IGBT开始关断时,即t=0时刻,J2结耗尽层承受电压很小,所以xd≈0,由上节可知, ΔI=IMOS。进而,推导出ΔI与I0的比值K,如下式所示:

=1/(1+β)
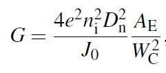
IGBT的BJT部分电流增益系数G,如下式

其中,J0为BJT集电极电流密度, AE为BJT发射极接触面积,WC为BJT集电区宽度。
电流增益α与电流增益系数G的关系是α∝G
BJT电流放大系数β与电流增益α之间的关系如下式

由上式可知,G与集电极电流密度J0成反比,即与Ic大小成反比;α随IC的增大而减小;BJT电流增益α减小,电流放大系数β随之减小。所以,随BJT集电极电流Ic的增大,β 减小;BJT集电极电流Ic增大,IGBT电流I0随之增大。因此,得出随IGBT电流I0增大,β逐渐减小。进而,K增大,所以相同电压下,电流增大,K随之增大。即ΔI占I0比例增大,拖尾电流占总电流I0的比例减小,进而关断时间缩短。
由于Ic与BJT集电极电流密度J0成正比,得
α ∝ 1/Ic



上式可以看出,当电流较小时,K相对于Ic的变化率较大,当电流较大时,变化率较小。所以,当Ic变化量相同时,K的变化量随Ic的增大而减小。因此,随着电流的增大,ΔI所占总电流比例的变化率dK=dIc逐渐减小。基于相同电压下,随电流增大,ΔI占总电流比例增大,关断时间减小的结论,得出电流较小时,关断时间减小速率较大,而电流较大时,关断时间减小速率较小。
结论:
IGBT关断时间随电压的增大,单调增大;随电流的增大而减小。电流较小时,关断时间很长,随着电流的增大,关断时间迅速缩短。当电流大于一定值时,关断时间恢复至使用手册的正常值附近,并随着电流的增大而缓慢减小。因此,在IGBT工作过程中,应根据实际装置工作电流范围,依据关断时间变化规律,合理设置死区时间。并且应尽量避免其工作在小电流工况,如若不能避免,则要尽量降低母线电压和采取限流措施,以免导致电力电子装置上下桥臂直通。
这边主要介绍了电流电压对IGBT关断过程的影响,最近工作内容涉及到IGBT单管的东西比较多,后面一段时间可能会分享比较多的关于IGBT单管的东西,前面整流电路部分的内容会继续完善一些,接着就要到逆变了。
什么是PCA?何时应该使用PCA?
时间:2026-04-28
仪表放大器放大倍数分析
时间:2026-04-28
射频微波设计入门
时间:2026-04-28
变压器结构
时间:2026-04-28
8种进行简单线性回归的方法分析与讨论
时间:2026-04-28
什么是RS485通信接口
时间:2026-04-28
简单的上色装置
时间:2026-04-26
液晶屏对比度温度补偿
时间:2026-04-26
双输入视频多路复用的电缆驱动器
时间:2026-04-26
带有75Ω负载的抗阻匹配线路驱动器
时间:2026-04-26
NVIDIA CPU+GPU超级芯片大升级!
时间:2026-03-09
电阻的原理和作用 电阻色环识别图 电路中电...
时间:2026-03-09
什么是室温超导?半导体时代将走向结束?芯...
时间:2026-03-09
石英灯电子变压器电路原理
时间:2026-03-06
半导体光刻工艺 光刻—半导体电路的绘制
时间:2026-03-09
什么是硅片或者晶圆?一文了解半导体硅晶圆
时间:2026-03-09
汽车芯片业应汲取的教训
时间:2026-03-09
半导体行业之ICT技术简介
时间:2026-03-09
压敏电阻有正负极吗
时间:2026-03-05
实用模拟电路小常识浅析
时间:2026-03-09