功率MOS场效应晶体管电参数指标中规定的电参数一般分为三大类:直流参数、交流参数和极限参数。直流参数包括:漏源击穿电压BVDSS,静态漏源导通电阻RDS(on),栅阈值电压VGS(th),正向跨导gfs等;交流参数包括:输入电容Ciss、输出电容Coss,反向传递电容Crss,开关时间ton、ts、tf等;极限参数包括:连续电流ID和脉冲漏电流IDM,最大耗散功率PD,栅源电压VGS,单脉冲雪崩耐量EAS等。
功率MOS场效应晶体管的设计任务就是根据用户使用要求,确定主要电学参数指标,设计出满足参数指标要求的纵向参数、横向参数和热学参数。
功率MOS场效应晶体管在实际设计过程中,主要从以下几个方面进行设计:功率MOS场效应晶体管的结构设计、功率MOS场效应晶体管的主要电参数设计、功率MOS场效应晶体管的工艺设计以及功率MOS场效应晶体管的零部件设计。
由产品电参数指标可知,该产品具有漏源击穿电压(BVDSS)、导通电阻低、电流容量高、耗散功率大、抗静电击穿能力强等特点。产品具有电压控制、快开关速度、易并联以及电参数温度稳定性高。非常适合应用于开关电源、马达驱动、逆变器、斩波器、音频放大器以及高能量脉冲电路。
表1 产品电参数指标(25℃)

栅氧化层厚度和P型体区结构参数:
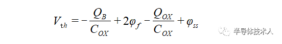
P型体区掺杂浓度与栅氧化层厚度tox共同受到阈值电压指标的约束。同时,P型体区掺杂浓度Na和扩散结深也受到器件的沟道穿通电压限制,应先从满足漏源击穿的角度确定出Na的值.
阈值电压可近似表示为:

其中,QOX为等效地栅氧化层正电荷面密度,具体值由栅氧化工艺条件决定,在设计过程中取QOX=8×10-8C;Nd是多晶硅栅掺杂浓度,在设计过程中取8×1018cm。
栅氧化层厚度越薄,在工艺实施过程中其重复性和均匀性越难保证,而且栅氧化层越厚,栅源、栅漏电容小,器件的频率特性越好,因此,从上述两点考虑栅氧化层厚度不宜过薄。但栅氧化层太厚会增大器件的导通电阻,因此在频率特性与导通电阻两者之间存在着相互制约的矛盾。
在设计过程中,取器件的栅氧化层的厚度为50nm,我们取Na为3×1017cm-3。经计算,栅氧化层电容COX为6.9×10-8F;P型体区衬底费米势为0.45V;P型体区表面强反型型最大耗尽层电荷为29.91×10-8C;N型多晶硅与P型体区间功函数差φSS为-0.98V。将上述值代入阈值电压公式(3)得到阈值电压Vth=2.95V
什么是PCA?何时应该使用PCA?
时间:2026-04-28
仪表放大器放大倍数分析
时间:2026-04-28
射频微波设计入门
时间:2026-04-28
变压器结构
时间:2026-04-28
8种进行简单线性回归的方法分析与讨论
时间:2026-04-28
什么是RS485通信接口
时间:2026-04-28
简单的上色装置
时间:2026-04-26
液晶屏对比度温度补偿
时间:2026-04-26
双输入视频多路复用的电缆驱动器
时间:2026-04-26
带有75Ω负载的抗阻匹配线路驱动器
时间:2026-04-26
NVIDIA CPU+GPU超级芯片大升级!
时间:2026-03-09
电阻的原理和作用 电阻色环识别图 电路中电...
时间:2026-03-09
什么是室温超导?半导体时代将走向结束?芯...
时间:2026-03-09
石英灯电子变压器电路原理
时间:2026-03-06
半导体光刻工艺 光刻—半导体电路的绘制
时间:2026-03-09
什么是硅片或者晶圆?一文了解半导体硅晶圆
时间:2026-03-09
汽车芯片业应汲取的教训
时间:2026-03-09
半导体行业之ICT技术简介
时间:2026-03-09
压敏电阻有正负极吗
时间:2026-03-05
实用模拟电路小常识浅析
时间:2026-03-09