1 什么是三极管
三极管,不管是在模电还是数电中都是常见的电子器件,利用它的特性,在模电中通常作放大作用,而在数电中则作开关或者逻辑转换。三极管的核心结构是PN结,可以是NPN组合,也可以是PNP组合。NPN三极管如图所示:

PNP三极管如图所示:

三极管最基本的作用是放大,把微弱的电信号放大成一定强度的信号,实际是将电源能量转换成信号的能量。
NPN型和PNP型三极管电流流动如图所示:

三极管是电流控制器件,但是本身不能把小电流变成大电流,而是控制电路中的电源,间接放大电流。
2 三极管的性质
以NPN三极管为例:

电流: 从基极B出来的电子和从集电极C出来的电子最终都会回到发射极E,当作注入电子。即IE=IB+IC。
UBE: 当基极与发射极间电压UBE<0.7V时,基极B和集电极C几乎没有电流,IB=0,IC=0。UBE>0.7V时,IB激增,但是IB相对于IC来说还是很小。
IC: 当UC的值低于0.7V时,集电极C和基极B的PN结正偏,此时IC会随着UCE的减小而减小。
如图所示,假设该NPN三极管放大倍数为100倍,集电极C串联1K电阻接3V电源。

截止区: 当UBE<0.7V时截止,此时IB≈IC=0,C极电阻没有压降,所以UCE达到最大值3V。
放大区: UBE≈0.7V且βIB。
饱和区: UBE≈0.7V且βIB>ICmax,由于C极电流不可能高于3mA,所以IC保持在最大3mA不能再升高,UCE=0。
三极管一个重要参数就是电流放大系数β。当三极管的基极B上加一个微小的电流时,在集电极C上可以得到一个是基极电流β倍的电流,即集电极电流。集电极电流随基极电流的变化而变化,并且基极电流很小的变化可以引起集电极电流很大的变化,这就是三极管的放大作用。

输出特性曲线描述的是基极电流 IB为一定量时,集电极电流 IC与管压降 UCE之间的函数关系,如下所示:

3 三极管的分类
晶体三极管按材料分类:锗管和硅管。
晶体三极管按工作频率分类:小于3MHz为低频;3MHz。
晶体三极管按输出功率分类:小于1W为小功率管;1W。
晶体三极管按结构分类:NPN型和PNP型,区分两种三极管的关键是看发射极的箭头指向,如图所示:

NPN型三极管: 由两块N型和一块P型半导体组成,P型半导体在中间,两块N型半导体在两侧。
PNP型三极管: 由两块P型半导体中间夹着一块N型半导体所组成的三极管,也可以描述成,电流从发射极E流入的三极管。
电流控制
NPN型三极管: 用基极B流向发射极E的电流IB,控制集电极C流向发射极E的电流IC。发射极E电位最低,正常放大时通常VC>VB>VE。
PNP型三极管: 用发射极E流向基极B的电流IB,控制发射极E流向集电极C的电流IC。发射极E电位最高,正常放大时通常VC。
NPN型和PNP型三极管对比表如下:

三极管的正偏和反偏都是根据三极管的PN结来区分的,如果PN电压为正,则正偏,反之反偏。
4 三极管的参数
三极管主要性能参数:
直流参数: 1、共射直流电流放大系数β;2、ICBO是发射极开路时,集电结的反向饱和电流;3、ICEO是基极开路时,集电极与发射极之间的穿透电流。
交流参数: 1、共射交流电流放大系数β;2、特征频率fT,频率升高,β降为1时对应的频率。
极限参数: 1、最大集电极电流ICM,允许通过的最大电流;2、最大集电极耗散功率PCM,实际功率过大,会烧坏三极管;3、集电极-发射极间击穿电压UCEO,基极开路时,集-射极耐电压值。
关于三极管β值:
硅三极管β值常用范围为:30~200
锗三极管β值常用范围为:30~100。
β值越大,漏电流越大,β值过大的三极管性能不稳定。
5 三极管的应用
放大电路
三极管在放大电路中的三种基本接法,共射极电路(信号由基极输入,集电极输出)如图所示:

电压增益Av如下:

Vo与Vi的相位关系: 反相
最大电流增益Ai:

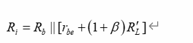
输入电阻:

输出电阻:

用途: 多级放大电路的中间级
共集电极电路(信号由基极输入,发射极输出)如图所示:

电压增益Av如下:

Vo与Vi的相位关系: 同相
最大电流增益Ai:

输入电阻:

输出电阻:

用途: 输入级、中间级、输出级
共基极电路(信号由发射极输入,集电极输出)如图所示:

电压增益Av如下:

Vo与Vi的相位关系: 同相
最大电流增益Ai:

输入电阻:

输出电阻:

用途: 高频或宽频带电路
共射极放大电路可以放大电压,也可以放大电流
共集极放大电路只能放大电流
共基极放大电路只能放大电压
开关电路
晶体三极管作为开关使用时,NPN型三极管控制接GND的引线,PNP型三极管控制接VCC的引线,如图所示:

NPN管,当基极输入高电平,则NPN三极管导通;PNP管,当基极输入低电平,则PNP三极管导通。
三极管闭合时是低阻态,断开时是高阻态,负载通常为蜂鸣器、继电器、LED显示器等。基极限流电阻R通常取值10K。
逻辑电路
非门(NOT)和与门(AND)电路图如下:

或门(OR)、与非门(NAND)和或非门(NOR)电路图如下:

希望本文对大家有帮助,上文若有不妥之处,欢迎指正。
影响介电常数的因素有哪些?
时间:2026-04-22
关于电流互感器基础知识介绍
时间:2026-04-22
开关电源的工作原理及特性
时间:2026-04-22
绝缘栅双极型晶体管(IGBT)外形、等效结构与...
时间:2026-04-22
信噪比(SNR)的定义,如何计算信噪比
时间:2026-04-22
波特率是什么意思_怎样计算波特率
时间:2026-04-21
RS485基本知识介绍
时间:2026-04-18
什么是激光雷达?激光雷达的构成与分类
时间:2026-04-18
Excelpoint - 一文了解SiC MOS的应用
时间:2026-04-18
什么是磁电阻器?磁电阻特性及应用
时间:2026-04-18
半导体光刻工艺 光刻—半导体电路的绘制
时间:2026-03-09
石英灯电子变压器电路原理
时间:2026-03-06
什么是室温超导?半导体时代将走向结束?芯...
时间:2026-03-09
什么是硅片或者晶圆?一文了解半导体硅晶圆
时间:2026-03-09
电阻的原理和作用 电阻色环识别图 电路中电...
时间:2026-03-09
北京理工大学实现了光导型向平面光伏型量子...
时间:2026-03-09
HTCC:半导体封装的理想方式
时间:2026-03-06
如何利用可扩展的柔性中间层制备超低模量电...
时间:2026-03-09
NVIDIA CPU+GPU超级芯片大升级!
时间:2026-03-09
光伏控制器简介
时间:2026-03-06