光纤放大器在无线光通信的应用
中心议题:
EDFA的原理及结构
EDFA的级联应用
EDFA级联应用的增益
解决方案:
增益分为两级,需正确分配两级问的增益
每一级各自一定的泵浦功率下,找到掺铒光纤的最佳长度
无线光通信是以激光作为信息载体,是一种不需要任何有线信道作为传输媒介的通信方式。与微波通信相比,无线光通信所使用的激光频率高,方向性强(保密性好),可用的频谱宽,无需申请频率使用许可;与光纤通信相比,无线光通信造价低,施工简便、迅速。它结合了光纤通信和微波通信的优势,已成为一种新兴的宽带无线接人方式,受到了人们的广泛关注。
但是,恶劣的天气情况,会对无线光通信系统的传播信号产生衰耗作用。空气中的散射粒子,会使光线在空问、时间和角度上产生不同程度的偏差。大气中的粒子还可能吸收激光的能量,使信号的功率衰减,在无线光通信系统中光纤通信系统低损耗的传播路径已不复存在。大气环境多变的客观性无法改变,要获得更好更快的传输效果,对在大气信道传输的光信号就提出了更高的要求,一般地,采用大功率的光信号可以得到更好的传输效果。随着光纤放大器(EDFA)的迅速发展,稳定可靠的大功率光源将在各种应用中满足无线光通信的要求。
EDFA的原理及结构
掺铒光纤放大器(EDFA)具有增益高、噪声低、频带宽、输出功率高、连接损耗低和偏振不敏感等优点,直接对光信号进行放大,无需转换成电信号,能够保证光信号在最小失真情况下得到稳定的功率放大。
1.1EDFA的原理
EDFA的泵浦过程需要使用三能级系统,如图1所示。

在掺铒光纤中注入足够强的泵浦光,就可以将大部分处于基态的Er3+离子抽运到激发态,处于激发态的Er3+离子又迅速无辐射地转移到亚稳态。由于Er3+离子在亚稳态能级上寿命较长,因此很容易在亚稳态与基态之间形成粒子数反转。当信号光子通过掺铒光纤时,与处于亚稳态的Er3+离子相互作用发生受激辐射效应,产生大量与自身完全相同的光子,这时通过掺铒光纤传输的信号光子迅速增多,产生信号放大作用。Er3+离子处于亚稳态时,除了发生受激辐射和受激吸收以外,还要产生自发辐射(ASE),它造成EDFA的噪声。
1.2EDFA的结构
典型的EDFA结构主要由掺铒光纤(EDF)、泵浦光源、耦合器、隔离器等组成。
掺铒光纤是EDFA的核心部件。它以石英光纤作为基质,在纤芯中掺人固体激光工作物质铒离子,在几米至几十米的掺铒光纤内,光与物质相互作用而被放大、增强。光隔离器的作用是抑制光反射,以确保放大器工作稳定,它必须是插入损耗低,与偏振无关,隔离度优于40dB。
图2为单向泵浦方式结构,此外还有反向泵浦,双向泵浦方式结构。

1.3EDFA的特性及性能指标
增益特性表示了放大器的放大能力,其定义为输出功率与输入功率之比:

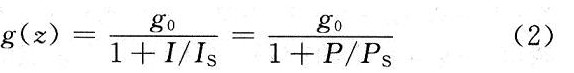
式中:Pout,Pin分别表示放大器输出端与输入端的连续信号功率。增益系数是指从泵浦光源输入1mW泵浦光功率通过光纤放大器所获得的增益,其单位为dB/mW:

式中:g0是由泵浦强度定的小信号增益系数,由于增益饱和现象,随着信号功率的增加,增益系数下降;Is,Ps分别为饱和光强和饱和光功率,是表明增益物质特性的量,与掺杂系数、荧光时间和跃迁截面有关。
增益和增益系数的区别在于:增益主要是针对输入信号而言的,而增益系数主要是针对输入泵浦光而言的。另外,增益还与泵浦条件(包括泵浦功率和泵浦波长)有关,目前采用的主要泵浦波长是980nm和1480nm。由于各处的增益系数是不同的,而增益须在整个光纤上积分得到,故此特性可用以通过选择光纤长度得到较为平坦的增益谱。
1.4EDFA的带宽
增益频谱带宽指信号光能获得一定增益放大的波长区域。实际上的EDFA的增益频率变化关系比理论的复杂得多,它还与基质光纤及其掺杂有关。在EDFA的增益谱宽已达到上百纳米.而且增益谱较平坦。ED-FA的增益频谱范围在1525~1565nm之间。
EDFA的级联应用
2.1EDFA的级联结构
EDFA对光信号功率的放大,特别在无线光通信大功率(瓦级)应用中,常常采用级联的方式,比如两级或者三级放大。之所以采用级联的方式,是因为在EDFA的掺铒光纤(EDF)中插入一个光隔离器,构成带光隔离器的两段级联EDFA,由于光隔离器有效地抑制了第二段:EDF的反向自发辐射(ASE),使其不能进入第一段EDF,减少了泵浦功率在反向ASE上的消耗,使泵浦光子更有效地转换成信号光能量,从而可以明显改善EDFA的增益、噪声系数和输出功率等特性。本文采用丽级级联放大,将1~2mW的1550nm光信号,经EDFA放大到1W左右。级联结构如图3所示。

光信号由LD激光器产生,是已调制的信号,第一级放大采用单包层掺铒光纤放大器,980nm单模半导体激光器作为泵浦源,将光功率放大到50mW附近。第一级采用单模半导体激光器泵浦,先将光信号稳定可靠的放大到一定功率,保证了整个光信号的完整,又为下一级光放大提供了较高的光功率基础。第二级采用双包层光纤放大器,多模半导体激光器泵浦源将光功率放大到1W左右。双包层光纤放大器纤芯比单包层纤芯大,泵浦功率可以有效地耦台到纤芯中,使第二级光信号的输出功率可达到瓦级。
EDFA级联应用的增益
2.2.1增益计算
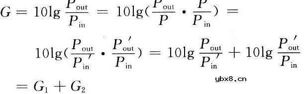
对EDFA级联的整体光功率增益:

其中:Pout表示EDFA两级放大后的输出光功率,Pin表示需要放大的输入光功率。
在本文中,光放大采用了两级级联放大,第一级增益为G1:

其中第一级的输出为第二级的输入,P‘’‘’‘’‘’‘’‘’‘’‘’out=P‘’‘’‘’‘’‘’‘’‘’‘’in=P,所以:

即,整体增益等于两级增益之和,本文的整体光功率增益为:

第一级增益为17dB,第二级增益为13dB,1W的光功率经过准直聚焦,再有光学镜头发射到大气信道,大大提高了光信号的有效传输距离。
影响增益的因素
EDFA的增益与诸多因素有关,如掺铒光纤的长度,随着掺铒光纤长度的增加,增益经历了从增加到减少的过程,这是因为随着光纤长度的增加,光纤中的泵浦功率将下降,使得粒子反转数降低,最终在低能级上的铒离子数多于高能级上的铒离子数,粒子数恢复到正常的数值。
由于掺铒光纤本身的损耗,造成信号光中被吸收掉的光子多于受激辐射产生的光子,引起增益下降。由上述讨论可知,对于某个确定的入射泵浦功率,存在着一个掺铒光纤的最佳长度,使得增益最大。增益与掺铒光纤长度的关系如图4所示。

EDFA的增益还跟输入光的程度、泵浦光功率及光纤中铒离子Er3+的浓度都有关系,如小信号输入时的增益系数大于大信号输入时的增益系数。当输入光弱时,高能位电子的消耗减少并可从泵激得到充分的供应,因而,受激辐射就能维持达到相当的程度。当输入光变强时,由于高能位的电子供应不充分,受激辐射光的增加变少,于是就出现饱和。泵浦光功率越大,掺铒光纤越长,3dB饱和输出功率也就越大。其次与当Er3+的浓度超过一定值时,增益反而会降低,因此要控制好掺铒光纤的铒离子浓度。
采用EDFA后,提高了注入光纤的功率,但当大到一定数值时,将产生光纤非线性效应和光泄漏效应,这影响了系统的传输距离和传输质量。另外色散问题变成了限制系统的突出问题,可以选用G653光纤(色散位移光纤DSF)或非零色散光纤(NZDF)来解决这一问题。
EDFA级联的改进
之所以采用EDFA级联的方式,一是插入两级间的光隔离器有效地抑制了第二段EDF的反向自发辐射(ASE),使其不能进入第一段EDF,减少了泵浦功率在反向ASE上的消耗,使泵浦光子更有效地转换成信号光能量;二是分为两级后,各自的增益可以任意分配,可以根据不同的增益要求和应用环境改变相应的增益。但是,要在保证信号无失真的情况下得到最佳的光功率增益,还需要解决一些问题:
(1)由于增益分为两级,如何分配两级问的增益才能在现有的EDF、泵浦源功率等条件下使得光放大的实现更容易,这与EDF的放大能力,泵浦远功率大小、稳定性,泵浦光波长及其模式等均有密切相关。
(2)在每一级各自一定的泵浦功率下,找到掺铒光纤的最佳长度。当EDF过短时,由于对泵浦吸收的不充分而导致增益降低;而当EDF过长时,由于泵浦光在EDF内被铒离子吸收,泵浦功率逐渐下降,当功率降至泵浦阈值以下时,就不能形成粒子数反转,此时,这部分EDF不仅对信号光无放大作用,反而吸收了已放大的部分信号,造成增益的下降,同时也会引起噪声系数的增大。
(3)如果需要更高的光功率输出,几十瓦甚至上百瓦,可考虑更高级联的方法,因为随着增益的增大,泵浦源由于转换效率的问题,功率需求会很高,所需的单级EDF长度也会大大增长,这样的工作条件往往不易达到,且稳定性不强,采用更高级联可以将增益划分到多级,易于实现和控制,光模块的整体增益特性也有较大提高。
本文提出了采用EDFA级联的方法,实现了光信号30dB的增益,满足无线光通信光功率传播的要求,使得光信号能在大气信道进行远距离,高稳定性传输。同时在现有的基础上,提出了需改进的问题,为今后研究的进一步开展指出了方向。
影响介电常数的因素有哪些?
时间:2026-04-22
关于电流互感器基础知识介绍
时间:2026-04-22
开关电源的工作原理及特性
时间:2026-04-22
绝缘栅双极型晶体管(IGBT)外形、等效结构与...
时间:2026-04-22
信噪比(SNR)的定义,如何计算信噪比
时间:2026-04-22
波特率是什么意思_怎样计算波特率
时间:2026-04-21
RS485基本知识介绍
时间:2026-04-18
什么是激光雷达?激光雷达的构成与分类
时间:2026-04-18
Excelpoint - 一文了解SiC MOS的应用
时间:2026-04-18
什么是磁电阻器?磁电阻特性及应用
时间:2026-04-18
半导体光刻工艺 光刻—半导体电路的绘制
时间:2026-03-09
石英灯电子变压器电路原理
时间:2026-03-06
什么是室温超导?半导体时代将走向结束?芯...
时间:2026-03-09
什么是硅片或者晶圆?一文了解半导体硅晶圆
时间:2026-03-09
电阻的原理和作用 电阻色环识别图 电路中电...
时间:2026-03-09
北京理工大学实现了光导型向平面光伏型量子...
时间:2026-03-09
HTCC:半导体封装的理想方式
时间:2026-03-06
如何利用可扩展的柔性中间层制备超低模量电...
时间:2026-03-09
NVIDIA CPU+GPU超级芯片大升级!
时间:2026-03-09
光伏控制器简介
时间:2026-03-06