选型无源混频器的时候,发现变频损耗一般都大于6dB,为什么做不到更小?
我印象中,在看混频器资料的时候,说混频器的变频损耗的理论值是3.9dB,但是没有去深究过到底是为啥。
小伙伴这个问题提出来了,然后我觉得,这个问题查查资料,应该能得出答案。
于是,我就开始看资料了。
但是,理想丰满,现实骨感,发现自己看了接近一上午,并没有搞懂。
写出来,让大家一起来看看。
如果混频器是无源混频器的话,比如二极管混频器时,其总的变频损耗是由多个损耗因素组成的,如下图所示。

理想情况下,混频器只产生上边带和下边带,所以与输入信号相比,会有3dB的损耗。
输入和输出的变压器,会在两个边带上叠加上0.75dB的损耗。
因为二极管的级联电阻Rs,所以还会有二极管损耗。
根据下式,对二极管损耗进行计算:

假定Rs=8 ohm,那么Diode Loss=0.5dB,所以混频器的总的变频损耗为:

章节中,还有一些其他的内容,也还是有知识盲点,没有弄懂。从上下文看,上面的这个例子,是针对双平衡混频器的。
接着,我又打开另外一篇文献,即文献[2]。
发现,不但没能解决文献[1]中的知识盲点,反而更迷糊了。文献中,完全又是另外一种思路。
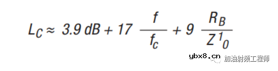
文中,详细推导变频损耗的过程是基于单端混频器的。所谓单端混频器,如下图所示,RF输入和LO输入,通过耦合器或者滤波器,同时输入至传输线,而该传输线的另一端是一个二极管。

如上图所示的模型,因为结电容和封装寄生参数的影响,源电阻变为Z0.
本振信号,使得二极管,在接近一半的周期内导通,另一半周期不导通。所以二极管的反射系数,随着时间,周期变化。
然后文献中,基于二极管的I/V曲线,推导出二极管的电导,又根据电导推导出反射系数,然后根据反射系数推导出反射电压,然后就得到变频效率,进而得到变频损耗为:

审核编辑:刘清
波特率是什么意思_怎样计算波特率
时间:2026-04-21
RS485基本知识介绍
时间:2026-04-18
什么是激光雷达?激光雷达的构成与分类
时间:2026-04-18
Excelpoint - 一文了解SiC MOS的应用
时间:2026-04-18
什么是磁电阻器?磁电阻特性及应用
时间:2026-04-18
什么是电场?电场在电容器中的应用
时间:2026-04-18
什么是ARM64?
时间:2026-04-17
vga和hdmi的区别
时间:2026-04-17
什么是ESD?ESD及TVS的原理和应用
时间:2026-04-17
开关电源原理与维修完整版 (10)_标清视频
时间:2026-04-16
半导体光刻工艺 光刻—半导体电路的绘制
时间:2026-03-09
石英灯电子变压器电路原理
时间:2026-03-06
什么是室温超导?半导体时代将走向结束?芯...
时间:2026-03-09
什么是硅片或者晶圆?一文了解半导体硅晶圆
时间:2026-03-09
电阻的原理和作用 电阻色环识别图 电路中电...
时间:2026-03-09
北京理工大学实现了光导型向平面光伏型量子...
时间:2026-03-09
HTCC:半导体封装的理想方式
时间:2026-03-06
如何利用可扩展的柔性中间层制备超低模量电...
时间:2026-03-09
NVIDIA CPU+GPU超级芯片大升级!
时间:2026-03-09
光伏控制器简介
时间:2026-03-06