EI变压器是电子变压器里一种,是按照铁心形状来定义的,因为EI变压器的铁心是由“E”型片和“I“型片叠加起来的,因此叫做EI变压器。EI变压器一般是工频(低频)变压器(50HZ或60HZ)、电源变压器、某些音频变压器也是EI的,如音响上用的。
EI型(包括山字形)就是较常见的变压器铁芯。R型(也成U型)他是由两个“U”型铁芯对成的,环形变压器又叫“0”型变压器,他的铁芯是用带状矽钢片卷绕而成的。
EI铁芯变压器:绕制工艺简单、效率较低,成本低(主要是设备便宜)。
按照安装方式分类
分为插针式、引线骑马夹式,插针式是直焊线路板上的,引线式是外部带引线,大部分是外面有铁壳,并且铁壳有安装孔,可以上螺丝。
按照铁心尺寸分类
EI变压器按照尺寸分类,一般大的类别是按照硅钢片长度来分类。比如常用的EI-19、EI-28、EI-35、EI-41、EI-48、EI-57、EI-66、EI-76.2、EI-86、EI-96、EI-114等等。其中的28、35、41这些是指硅钢片的长度。
细致的分类还要考虑硅钢片的总叠厚,有的变压器上面标EI-48*20,这个20是指硅钢片的总叠厚是20mm,因此这个变压器是EI-48的,细分下是EI-48*20的。
有些地方还有按照硅钢片舍口宽度来分类的,舍口是指E片中间凸出那部分,具体如图标识A,有的说EI-16*20,其中16是指舍宽为16的变压器,查表得知EI-48变压器的舍宽是16,因此EI-16*20变压器就是EI-48*20变压器。

1. 执行标准:GB19212.1-2003 GB19212.7-2006
2. 属II类安全隔离变压器,无危害式
3. 绝缘等级:CLASS B
4. 申请标题: EI方型电源变压器 (1VA--900VA)
5. 型号描述: EIxxxW-xxxx-Z 输入:220-230Vac 50/60Hz;输出:1VA-900VA (xxx表示片宽的尺寸型号,其范围从35mm到152mm宽的某一尺寸。“W”表示王字绕组骨架式,xxxx
表标输出功率(VA),Z表示输出绕组数,Z=1,2,。。.5, 6中的任意一个整数。(如EI057W-0040-3表示片宽为57mm,额定输出功率40VA次级输出绕组为3个)
6. 规格描述:此系列片宽包括35,41,48,57,66,76,86,96,114,152
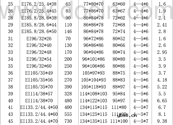
每一片宽的功率容量,绕组数,电压范围,电流范围见下表:




RS485基本知识介绍
时间:2026-04-18
什么是激光雷达?激光雷达的构成与分类
时间:2026-04-18
Excelpoint - 一文了解SiC MOS的应用
时间:2026-04-18
什么是磁电阻器?磁电阻特性及应用
时间:2026-04-18
什么是电场?电场在电容器中的应用
时间:2026-04-18
什么是ARM64?
时间:2026-04-17
vga和hdmi的区别
时间:2026-04-17
什么是ESD?ESD及TVS的原理和应用
时间:2026-04-17
开关电源原理与维修完整版 (10)_标清视频
时间:2026-04-16
开关电源原理与维修完整版 (11)_标清视频
时间:2026-04-16
半导体光刻工艺 光刻—半导体电路的绘制
时间:2026-03-09
石英灯电子变压器电路原理
时间:2026-03-06
什么是室温超导?半导体时代将走向结束?芯...
时间:2026-03-09
什么是硅片或者晶圆?一文了解半导体硅晶圆
时间:2026-03-09
北京理工大学实现了光导型向平面光伏型量子...
时间:2026-03-09
HTCC:半导体封装的理想方式
时间:2026-03-06
如何利用可扩展的柔性中间层制备超低模量电...
时间:2026-03-09
光伏控制器简介
时间:2026-03-06
电阻的原理和作用 电阻色环识别图 电路中电...
时间:2026-03-09
NVIDIA CPU+GPU超级芯片大升级!
时间:2026-03-09