Part 01
前言
上一篇文章我们介绍了在进行MOSFET相关的电路设计时,可能会遇到MOSFET误导通的问题,为了解决此问题,我们提出了两种方法,一种是增大MOSFET栅极串联电阻的阻值,另外一种是在MOSFET栅-源极之间并联一个电容,有读者在评论区说如果在栅-源极并联一个电容,MOSFET可能会出现炸管的问题?那么在MOSFET栅-源极并联电容和MOSFET炸管是否真的有联系?内在的机制又是什么?如何解决?今天我们就详细分析一下。

Part 02
原因分析
在硬件电路设计中,电子元器件经常会出现EOS损坏,什么是EOS损坏呢?EOS对应的英文名称是Electrical Overstress,也就是电气过应力,指的是元器件因受到超过其额定极限的电应力,比如电压,电流,温度而损坏,这也是硬件工程师在售后件分析中的基本分析方向。
回到我们今天的主角MOSFET,MOSFET炸管也有三大原因,电压,电流,温度,比如MOSFET漏源极两端的电压超过了最大极限值,或者MOSFET的漏源极电流超过了最大极限值,或者MOSFET的温度超出了最大结温,这些参数限值我们都可以在规格书中查阅:

对MOSFET而言,如果在MOSFET栅-源极之间并联一个电容,不会导致MOSFET漏源极过压,也不会导致漏源极电流过流,那导致MOSFET炸管的原因大概率就是过温了。那电容是如何导致MOSFET过温的呢?
Part 03
GS并联电容如何导致MOS过温炸管?
MOSFET工作就会产生损耗,MOSFET的功耗有两大部分,导通损耗,开关损耗,导通损耗是指MOSFET在“导通”状态,即栅极电压大于MOSFET平台电压,此时MOSFET完全导通下产生的损耗。导通时,漏极和源极之间存在一个小电阻,称为导通电阻RDS(on),当电流流过时产生的功耗。
导通损耗Pcon主要与MOSFET的导通电阻有关:

通过上面的公式可以得出以下结论:
导通电阻越大(导通电阻随温度升高而增加),导通损耗越高。
负载电流越大,导通损耗越高。
在MOSFET栅-源极之间并联一个电容不会影响负载电流和导通电阻。
开关损耗是MOSFET在开启和关断过程中产生的损耗。在每次开关时,MOSFET从导通到截止或从截止到导通的过程中,漏极电流和漏极-源极电压并非瞬间达到目标状态,而是有一个渐变过程。在这个过程中,电压和电流同时存在,导致功耗。
看下图就能明白了,由于MOS存在寄生电容,导致MOSFET存在米勒效应,在t1时间段内,Vds不变,Id增加,对应的功耗为蓝色区域,在t2时间段内,Vds减小,Id基本不变(实际会缓慢增加),对应的功耗为蓝色区域。

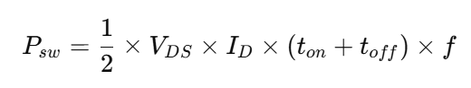
开关损耗Psw的近似公式为:

Vds是漏-源电压。
Id是漏极电流。
ton和toff分别是MOSFET的开通时间和关断时间(ton=t1+t2)。
f是开关频率。
在MOSFET栅-源极之间并联一个电容,由于电容充电需要时间,进而会增加MOSFET的开通时间和关断时间,从而增大开通和关断损耗,MOSFET的温升=损耗*热阻,如果电容容值过大就会导致MOSFET炸管。
如何计算并联电容导致MOSFET开通时间和关断时间的变化呢?我们可以基于电容充电的计算模型,把驱动MOSFET开启,看作是对MOSFET栅源极电容Cgs,栅漏极电容Cgd充电,计算将电容充满电所需的时间即可,具体的推导后续重开文章分析,本文着重分析栅-源极之间并联一个电容和MOSFET炸管内在机理。
RS485基本知识介绍
时间:2026-04-18
什么是激光雷达?激光雷达的构成与分类
时间:2026-04-18
Excelpoint - 一文了解SiC MOS的应用
时间:2026-04-18
什么是磁电阻器?磁电阻特性及应用
时间:2026-04-18
什么是电场?电场在电容器中的应用
时间:2026-04-18
什么是ARM64?
时间:2026-04-17
vga和hdmi的区别
时间:2026-04-17
什么是ESD?ESD及TVS的原理和应用
时间:2026-04-17
开关电源原理与维修完整版 (10)_标清视频
时间:2026-04-16
开关电源原理与维修完整版 (11)_标清视频
时间:2026-04-16
半导体光刻工艺 光刻—半导体电路的绘制
时间:2026-03-09
石英灯电子变压器电路原理
时间:2026-03-06
什么是硅片或者晶圆?一文了解半导体硅晶圆
时间:2026-03-09
什么是室温超导?半导体时代将走向结束?芯...
时间:2026-03-09
北京理工大学实现了光导型向平面光伏型量子...
时间:2026-03-09
HTCC:半导体封装的理想方式
时间:2026-03-06
如何利用可扩展的柔性中间层制备超低模量电...
时间:2026-03-09
光伏控制器简介
时间:2026-03-06
电阻的原理和作用 电阻色环识别图 电路中电...
时间:2026-03-09
NVIDIA CPU+GPU超级芯片大升级!
时间:2026-03-09