电容的本质是一个容器。就好像一个蓄水池,既能存水,又能从中取水;又好像一个储钱罐子,既能存钱,又能从中取钱。
1 ‘藏’
存储电荷的容器,称为电容。
所有传递给电阻的能量都以热量的形式被消耗掉,但是电容不会。
所以,电容是一个储能元件。
这种特性,我将其描述为一个字:“藏”。
电容的一切应用,都源自于“储藏”。
2 基础公式与推论
任意两块平行金属板就能构成一个简易电容器。给极板两侧通上电的瞬间便完成了电荷的“储藏”过程,使得上极板充满正电荷,下极板全是负电荷。

储藏的电荷来自于电源,极板电容两端的电压越大,储藏的电荷越多。

“储藏”电荷需要一定的时间,该过程的电荷移动形成了电流。

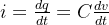
在极短的时间内,电荷移动产生了多少电流?结合微积分,便有了电容的核心公式:

核心公式的直观理解与推论:
电容越大,储藏的电荷就越多,因而可以提供更多的电流
推论1:电容可以用做负载的电流小金库,以备不时之需 推论2:电容可视为一个小型电荷泵,电荷取用自由
电压变化地越快,得到的电流就越大
推论3:电路上下电瞬间,电压突变,导致电容两端的电流突变 推论4:由电路上下电造成的电流尖峰,称之为浪涌电流
电流的大小取决于电容两端电压的变化率,和电容本身大小无关
解释:电容一旦制作完成,其容值便基本固定,因此dv/dt起决定作用
进一步推导出电容“储藏”的能量:

基于直流电源基础上的公式推导,如上文所述。
如果面对的是交流电,此时的公式是否会产生某些变化?
将正弦交流电压,带入核心公式,可得到电流的交流形式:


运用欧姆定理,便得到电容的容抗表达式:

从容抗表达式,能看出:
通高频,通交流
解释:当处于高频交流电路中时,容抗X十分小,不具有“抵抗”作用,很容易通过
阻低频,阻直流
解释1:低频电路,容抗X特别大,“抵抗”力十足,将低频信号隔绝在外 解释2:直流,是频率为0的交流信号
3 高频模型
为简化计算,运用理想平行板电容模型参与简单计算。

受到实际生产制造工艺的局限,真实电容带有许多寄生参数。这些寄生参数在高频中会带来较大的影响,难以忽略。
如填充在极板间的介质很难做到完全绝缘;如存在于引线上的电阻/电感等......
应用中,会综合考虑这些寄生参数,用等效串联电阻ESR模拟参数中的阻性;用等效串联电感ESL模拟参数中的感性。这两个参数会带来一定的损耗,如漏电流等。

从高频阻抗公式,能看出:
电容介质损耗

引入3种功率,储存功率(无功功率Q),消耗功率(有功功率P),视在功率S,三种功率组成功率三角形,如上图所示。引出电容介质损耗:

谐振频率点


从公式可以看到:
1谐振点处,电容呈现纯阻性 2影响谐振频率的参数,主要是ESL和容值 3显然容值越大,谐振频率越小(和容值相比,ESL的数值几乎可以忽略)
不同容值的阻抗频率曲线如图所示:

4 两组六大参数
仿照电阻参数,本文将电容参数划分成2组,细分为6小个。分别是:
物有形---封装、容值
物有实---材料、温漂、精度、耐压
容值刻度、以及耐压等参数通常会标注在插针式电容表面;而对于贴片式电容,由于表面积不足,因而只能看到简单的几何外形。

参数1:封装
常见贴片式和插针式两种。贴片式的器件需要使用回流焊,插针式使用波峰焊进行焊接。对于贴片式的封装,又根据大小分为0805、0603等。
回流焊:使用高温热风使涂在焊盘表面的锡膏融化,进而形成焊点 波峰焊:一种手焊的机械自动化形式,用熔融态的锡去触碰针脚
参数2:容值
容值的单位记忆小口诀,皮纳微法。每个字之间相差1000倍。
参数3:温漂
同电阻一样,这是一个材料精度。容值随温度的变化率,单位ppm/℃。
参数4:精度
纯正反映制造水平的参数,水平高,精度高。
参数5:耐压
标称最大工作电压,和电容的尺寸、材料均有关。
参数6:材料
以贴片式陶瓷电容为例,俗称MLCC。按材料特性可将其分为两类,第一类电容和第二类电容。
第一类电容:代表C0G,适用于高频电路的滤波、耦合等,容值稳定可靠。
第二类电容:代表X7R,稳定性较差,DC偏压特性差【电容量随直流电压的瞪大而减小】,此类电容命名以温度-精度著称,常见的几大类如下表所示:

5 RC积分电路
RC电路是阻容系统中的最简形式。这个电路有两个变种,一种电容接地,一种电阻接地。山河主讲电容接地的变种,即RC积分电路。

前面咱说,电容是一个水池。
那么无论是从中取水,或者将水池装满,都需要一定的时间。
时间常数


阶段1:充电
充电过程电压表达式,其图像恰如上图中绿色部分。

从电压表达式,能了解到如下信息
1.充电开始的瞬间,电容两端电压为0,等价为导线,必然产生电流 2.充满电的时间大概是5τ,此时大概充到99.3%的程度 3.充电完成时,电容两端的电压约等于电源,视为电容开路 4.电压的主要变化过程,体现在第一个τ内 5.电容两端的电压是缓慢增加的
上述就是“电容两端的电压不能突变”的原因。
其实从公式Q=CU同样能推导出“电容两端的电压不能突变”,因为电荷的累积不可能一蹴而就。
充电过程的电流表达式,其图像如下图橙色曲线所示


从电流表达式,能了解到:
1.充电开始的瞬间,电容两端存在电流,即电压为0,电流不为0 2.初始电流尖峰,随充电时间增加而减小
提个问题,上图中标记X处,为什么没有重合?即电流电压曲线起始点为何没有重合?
因为,起始点处电容形同一根导线,因此导线中会有电路的电流。
一旦充电开始,电容上会产生一个电流尖峰,称之为“浪涌电流”。
除了“浪涌电流”外,还能看出一个概念,DC偏压特性。显然充电过程中,电压不断增加,电流不断减小。
电流的减小,说明电容的容抗在增加。
电压在增加,根据C=Q/U知,容值在动态减小,因此容抗在增加。
即,DC偏压特性是电容特有属性,但是X7R材质的电容相较于C0G的要差许多,也因此会有更陡峭的浪涌电流
阶段2:放电


放电过程就是充电的逆过程,电压仍然没有突变,浪涌电流仍然存在
怎样统一充放电过程?
其实很简单,之前我们一直假想的是从“0”开始充电,而这在实际应用中,几乎是不可能的。因此,就有了如下统一公式:

U0:初始电压,如果为0,就成了理想充电过程 U1:终点电压,如果为0,就成了理想放电过程
6 时间常数
再来看看不同时间常数,对充放电电压/电流的影响。

时间常数越小,充满电的时间越短,电压/电流的上升沿越陡峭,这将会带来两个影响,其一,引入较大的浪涌电流;其二,造成比较恶劣的EMC结果。
时间常数过大,曲线上升缓慢,甚至在电压脉冲周期结束时,充电尚未完成就立马转入放电周期。这种现象会给后级电路带来纹波电压。

另一方面,时间常数过大或者过小,都会导致后级ADC采样失准。即原本需要对1.2V采样,但因为时间常数的缘由,采集到的真实电压大于/小于1.2V,进而造成ADC采样转化上面的数值偏差。
前文都是在假设电源频率不变的基础下,增大/减小时间常数,进而导致充放电曲线的缓/抖。
换一个角度,时间常数固定不变,改变电源的频率,会发生什么?
以实际应用中比较常见的场景,PWM信号的滤波电容,它的充放电波形是什么样的?

即如下两个操作对充放电曲线而言是几乎等价的:
CASE1:PWM频率不变,增大时间常数 CASE2:时间常数不变,增大PWM频率
能看到一个显著趋势:频率越快,电容输出电压的幅值越小。
但是,一旦频率增加到截止频率时,输出电压将不会再有变化。
这便是为什么RC积分电路,又被称作“低通滤波器”。低通,藏掉高频。
7 容值计算
在大多数直流系统中,电源端进来的第二个单元就是滤波,那么这个电容的容值该如何设计呢?利用电荷量守恒建立方程,即:

假设12V,30A,±1%纹波精度,纹波频率400kHz的直流系统,则其纹波电压为:

纹波频率决定了电容的有效充放电时间,因此在占空比50%的电源系统中,电容的充电时间为:

从而计算出电容的容值为:

进一步考虑电容不同的选值系列,并考虑一定的冗余,确定最终的电容值。
电容容值选择偏大/偏小带来哪些影响?
选大了,容器大了,能藏的东西更多了,呈现出来就是纹波更小,但是电容的价格也会随之上涨。 选小了,容器小了,藏不住东西,一藏就满,一掏就空,呈现出来就是曲线的斜率大,容抗也大,由于ESR的存在,导致纹波电压大,更是会产生热量,导致电容寿命下降。
选不到自己想要的容值怎么办?
跟电阻一样,将电容串并联以获取自己需要的容值。
8电容的应用
回到开头,电容善藏。
电容最重要的应用,就是滤波、储能。前者藏无用,后者藏有用。
RS485基本知识介绍
时间:2026-04-18
什么是激光雷达?激光雷达的构成与分类
时间:2026-04-18
Excelpoint - 一文了解SiC MOS的应用
时间:2026-04-18
什么是磁电阻器?磁电阻特性及应用
时间:2026-04-18
什么是电场?电场在电容器中的应用
时间:2026-04-18
什么是ARM64?
时间:2026-04-17
vga和hdmi的区别
时间:2026-04-17
什么是ESD?ESD及TVS的原理和应用
时间:2026-04-17
开关电源原理与维修完整版 (10)_标清视频
时间:2026-04-16
开关电源原理与维修完整版 (11)_标清视频
时间:2026-04-16
半导体光刻工艺 光刻—半导体电路的绘制
时间:2026-03-09
石英灯电子变压器电路原理
时间:2026-03-06
什么是室温超导?半导体时代将走向结束?芯...
时间:2026-03-09
北京理工大学实现了光导型向平面光伏型量子...
时间:2026-03-09
HTCC:半导体封装的理想方式
时间:2026-03-06
什么是硅片或者晶圆?一文了解半导体硅晶圆
时间:2026-03-09
如何利用可扩展的柔性中间层制备超低模量电...
时间:2026-03-09
光伏控制器简介
时间:2026-03-06
电阻的原理和作用 电阻色环识别图 电路中电...
时间:2026-03-09
NVIDIA CPU+GPU超级芯片大升级!
时间:2026-03-09