放大电路在放大信号时,总有两个电极作为信号的输入端,同时也应有两个电极作为输出端。根据半导体三极管三个电极与输入、输出端子的连接方式,可归纳为三种:共发射极电路、共基极电路以及共集电极电路。图15-8 所示就是这三种电路的接法。

这三种电路的共同特点是,它们各有两个回路,其中一个是输入回路,另一个是输出回路,并且这两个回路有一个公共端,而公共端是对交流信号而言的。它们的区别在于:共发射极电路管子的发射极是公共端,信号从基极与发射极之间输入,而从集电极和发射极之间输出;共基极电路则以基极作为输入、输出端的公共端;共集电极电路则以集电极作为输入、输出的共公端,因为它的输出信号是从发射极引出的。所以又把共集电极放大电路称为 射极输出器。
在晶体三极管放大电路中,由于它与外部电源电压、信号电源及元件的组合不同,所以它的工作特性也不同。按照输入电路与输出电路的交流信号公共端的不同,可分为共基极、共发射极、共集电极三种基本放大电路。以下是晶体三极管基本放大电路的性能比较表:

共基极放大电路
共基极的放大电路,如图1所示,

图1 共基极放大电路
主要应用在高频放大或振荡电路,其低输入阻抗及高输出阻抗的特性也可作阻抗匹配用。电路特性归纳如下:
输入端(EB之间)为正向偏压,因此输入阻抗低(约20~200 )
输出端(CB之间)为反向偏压,因此输出阻抗高(约100k~1M )。

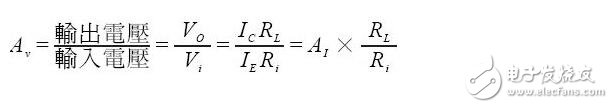
电流增益:

虽然AI小于1,但是RL / Ri很大,因此电压增益相当高。
功率增益:

由于AI小于1,所以功率增益不大。
共发射极放大电路
共发射极的放大电路,如图2所示。

图2 共发射极放大电路
因具有电流与电压放大增益,所以广泛应用在放大器电路。其电路特性归纳如下:
输入与输出阻抗中等(Ri约1k~5k ;RO约50k)。
电流增益:

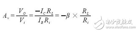
电压增益:

负号表示输出信号与输入信号反相(相位差180°)。
功率增益:

功率增益在三种接法中最大。
共集电极放大电路
共集电极放大电路,如图3所示,

图3 共集电极放大电路
高输入阻抗及低输出阻抗的特性可作阻抗匹配用,以改善电压信号的负载效应。其电路特性归纳如下:
输入阻抗高(Ri约20 k );输出阻抗低(RO约20 )。
电流增益:

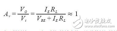
电压增益:

电压增益等于1,表示射极的输出信号追随着基极的输入信号,所以共集极放大器又称为射极随耦器(emitter follower)。功率增益Ap = AI × Av≈β ,功率增益低。
三极管三种放大电路特性比较

共发射极放大电路偏压

图4 自给偏压方式
又称为基极偏压电路,最简单的偏压电路,稳定性差,容易受β值的变动影响,温度每升高10℃时,逆向饱和电流ICO增加一倍。温度每升高1℃时,基射电压VBE减少2.5mV ,β随温度升高而增加(影响最大) 。

图5 带电流反馈的基极偏压方式
三极管发射极加上电流反馈电阻,特性有所改善,但还是不太稳定。

图6 分压式偏置电路
此为标准低频信号放大原理图电路,其R1(下拉电阻)及R2为三极管偏压电阻,为三极管基极提供必要偏置电流,R3为负载电阻,R4为电流反馈电阻(改善特性),C3为旁路电容,C1及C3为三极管输入及输出隔直流电容(直流电受到阻碍),信号放大值则为R3/R4倍数。设计上注意: 三极管Ft值需高于信号放大值与工作频率相乘积,选择适当三极管集电极偏压、以避免大信号上下顶部失真,注意C1及C3的容量大小对低频信号(尤其是脉波)有影响。在R4并联一个C2,放大倍数就会变大。而在交流时C2将R4短路。
放大电路的三种组态如何判别,怎么做三种组态比较,放大电路的三种组态有什么特点和用途。
1、三种组态的判别
以输入、输出信号的位置为判断依据:
信号由基极输入,集电极输出——共射极放大电路
信号由基极输入,发射极输出——共集电极放大电路
信号由发射极输入,集电极输出——共基极电路

2、三种组态的比较

3、三种组态的特点及用途
共射极放大电路:
电压和电流增益都大于1,输入电阻在三种组态中居中,输出电阻与集电极电阻有很大关系。适用于低频情况下,作多级放大电路的中间级。
共集电极放大电路:
只有电流放大作用,没有电压放大,有电压跟随作用。在三种组态中,输入电阻最高,输出电阻最小,频率特性好。可用于输入级、输出级或缓冲级。
共基极放大电路:
只有电压放大作用,没有电流放大,有电流跟随作用,输入电阻小,输出电阻与集电极电阻有关。高频特性较好,常用于高频或宽频带低输入阻抗的场合,模拟集成电路中亦兼有电位移动的功能。
影响介电常数的因素有哪些?
时间:2026-04-22
关于电流互感器基础知识介绍
时间:2026-04-22
开关电源的工作原理及特性
时间:2026-04-22
绝缘栅双极型晶体管(IGBT)外形、等效结构与...
时间:2026-04-22
信噪比(SNR)的定义,如何计算信噪比
时间:2026-04-22
波特率是什么意思_怎样计算波特率
时间:2026-04-21
RS485基本知识介绍
时间:2026-04-18
什么是激光雷达?激光雷达的构成与分类
时间:2026-04-18
Excelpoint - 一文了解SiC MOS的应用
时间:2026-04-18
什么是磁电阻器?磁电阻特性及应用
时间:2026-04-18
半导体光刻工艺 光刻—半导体电路的绘制
时间:2026-03-09
石英灯电子变压器电路原理
时间:2026-03-06
什么是室温超导?半导体时代将走向结束?芯...
时间:2026-03-09
什么是硅片或者晶圆?一文了解半导体硅晶圆
时间:2026-03-09
电阻的原理和作用 电阻色环识别图 电路中电...
时间:2026-03-09
北京理工大学实现了光导型向平面光伏型量子...
时间:2026-03-09
HTCC:半导体封装的理想方式
时间:2026-03-06
如何利用可扩展的柔性中间层制备超低模量电...
时间:2026-03-09
NVIDIA CPU+GPU超级芯片大升级!
时间:2026-03-09
光伏控制器简介
时间:2026-03-06