两个问题
最近在研究三极管时翻到了《晶体管电路设计(上)》这本书,相信很多业内的小伙伴都有这本书。书中在第2章中的实验电路,正好和我们前面分析的例子相匹配。当然这不是巧合,毕竟这个电路太典型,很多模电书上都有分析。

在Page24中,如下图红圈,有提到高通滤波器的截止频率fc=1/2πRC。不知道屏幕前的你在研究这本书时有没有疑惑?

反正我是有疑问: ①为什么fc是1/2πRC?②R为什么是R1//R2,18kΩ?三极管的rbe和Re为啥不考虑?
理论分析
带着这两个疑问,对这个共射极放大电路进行分析。此时我们的目标很明确,就是低频带。在低频带时,交流耦合电容C1,C2不能再像中频带一样短路,需要考虑耦合电容的影响;而三极管的结电容依旧可以当做短路。
于是,就有如下交流通流:

此时的Rb是Rb1//Rb2并联后的简化。由于发射极电阻Re的存在,使得这个交流通路不是很直观,需要做进一步简化。把Re分别折算到输入回路和输出回路。

如上图所示,Re折算到输入回路,变成了等效电阻(1+β)Re。而在输出回路,由于连接的是受控电流源,电流源的内阻本身已经是无穷大,可以暂且忽略Re在输出回路的影响(这是基于个人理解给出的解释)。

为了让电路更加直观,我们做进一步简化。在输入回路,C1右侧的电阻简化为Ri。在输出回路,根据诺顿定理讲受控电流源β*ib转换受控电压源β*ib*Rc,输出回路的等效电压源的内阻也变成了Rc,如上图所示。


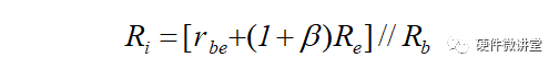
注意:在电路中Re=2k,Rb=Rb1//Rb2=18k,β如果取值200,rbe暂且不算,已经有(1+β)Re>>Rb。那[rbe+(1+β)Re]//Rb的值应趋近于Rb,所以有:Ri近似约等于Rb。

讨论完Ri,我们再看下输入回路的电流Ii。rbe+(1+β)Re上的电压Vi=Ib[rbe+(1+β)Re]。由于Rb和rbe+(1+β)Re是并联关系,则Rb两端电压也是Vi。

于是,可以求得:

由于rbe+(1+β)Re和Rb的两端电压都是Vi,rbe+(1+β)Re>>Rb,则有:


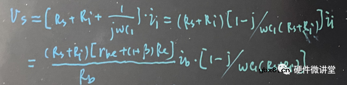
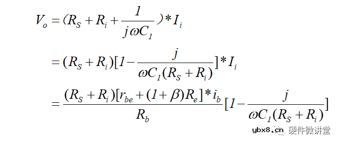
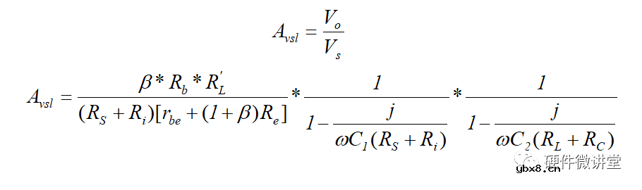
计算完Ri和Ii,我们可以开始求解Vs。


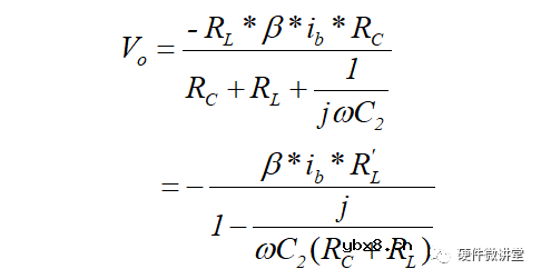
求解Vo:


备注:RL'=Rc//RL。
再求解Avsl:


这样的话,可以得到两个低频截止频率fL1和fL2。

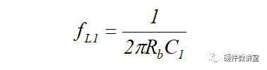
针对Vs,由于没有设置Rs,那么fL1=1/2π*Rb*C1。这个不就是文章开头《晶体管电路设计(上)》书中的计算公式么!而且Rb正是Rb1//Rb2。


把整个推导过程的手写版本,全部放出来:

特别说明:上面的推导仅限于上图中的电路。如果在Re上并联一颗大电容,推导出来的Avsl计算公式又不一样了,请具体问题具体分析。
TINA-TI仿真
还是用这个共射极放大电路,老粉儿应该不陌生,已经用了多次。

在前一篇文章中,仿真频率响应得到的幅频曲线是这样的:

为什么这里面没有体现出高通滤波的特性呢?
这是因为起始频率设置的太高。如果我们把起始频率设置为0.1Hz,再仿真看看。如下图所示,中频带的增益是13.69,在下降3dB后,在低频区对应的频点是944mHz,即0.9Hz。
这也正好和计算的fL1=1/2π*Rb*C1=0.9Hz能对应上。

总 结
写到这里,终于把前面共射极放大电路低频截频计算方法说清楚了。
现在梳理下今天讨论的内容:
①CE放大电路的低频等效电路及其低频截频fh推导过程;
②用TINA-TI仿真CE放大电路的低频带的幅频响应;
怎么样?一个简短的问题,给出的回答可浅可深。我的助攻只能到这里,能否晋升到陆地神仙境,一剑开天门,就看你的造化了!
审核编辑:刘清
影响介电常数的因素有哪些?
时间:2026-04-22
关于电流互感器基础知识介绍
时间:2026-04-22
开关电源的工作原理及特性
时间:2026-04-22
绝缘栅双极型晶体管(IGBT)外形、等效结构与...
时间:2026-04-22
信噪比(SNR)的定义,如何计算信噪比
时间:2026-04-22
波特率是什么意思_怎样计算波特率
时间:2026-04-21
RS485基本知识介绍
时间:2026-04-18
什么是激光雷达?激光雷达的构成与分类
时间:2026-04-18
Excelpoint - 一文了解SiC MOS的应用
时间:2026-04-18
什么是磁电阻器?磁电阻特性及应用
时间:2026-04-18
半导体光刻工艺 光刻—半导体电路的绘制
时间:2026-03-09
石英灯电子变压器电路原理
时间:2026-03-06
什么是室温超导?半导体时代将走向结束?芯...
时间:2026-03-09
什么是硅片或者晶圆?一文了解半导体硅晶圆
时间:2026-03-09
电阻的原理和作用 电阻色环识别图 电路中电...
时间:2026-03-09
北京理工大学实现了光导型向平面光伏型量子...
时间:2026-03-09
HTCC:半导体封装的理想方式
时间:2026-03-06
如何利用可扩展的柔性中间层制备超低模量电...
时间:2026-03-09
NVIDIA CPU+GPU超级芯片大升级!
时间:2026-03-09
光伏控制器简介
时间:2026-03-06