变容二极管是利用pN结反偏时结电容大小随外加电压而变化的特性制成的。反偏电压增大时结电容减小、反之结电容增大,变容二极管的电容量一般较小,其最大值为几十皮法到几百皮法,最大区容与最小电容之比约为5:1。它主要在高频电路中用作自动调谐、调频、调相等、例如在电视接收机的调谐回路中作可变电容。
变容二极管属于反偏压二极管,改变其PN结上的反向偏压,即可改变PN结电容。反向偏压越高,结电容则越小。
变容二极管主要应用于高频调谐电路中,如收音机、电视机的选台调谐等。
1、掌握变容二极管调频电路的原理。
2、了解调频调制特性及测量方法。
3、观察寄生调幅现象,了解其产生及消除的方法。
1、测试变容二极管的静态调制特性。
2、观察调频波波形。
3、观察调制信号振幅时对频偏的影响。
4、观察寄生调幅现象。
1、信号源模块1块
2、频率计模块1块
3、3号板1块
4、双踪示波器1台
5、万用表1块
6、频偏仪(选用)1台
1、变容二极管工作原理
调频即为载波的瞬时频率受调制信号的控制。其频率的变化量与调制信号成线性关系。常用变容二极管实现调频。
变容二极管调频电路如图12-1所示。从P3处加入调制信号,使变容二极管的瞬时反向
偏置电压在静态反向偏置电压的基础上按调制信号的规律变化,从而使振荡频率也随调制电压的规律变化,此时从P2处输出为调频波(FM)。C15为变容二级管的高频通路,L2为音频信号提供低频通路,L2可阻止外部的高频信号进入振荡回路。本电路中使用的是飞利浦公司的BB910型变容二极管,其电压-容值特性曲线见图12-4,从图中可以看出,在1到10V的区间内,变容二极管的容值可由35P到8P左右的变化。电压和容值成反比,也就是TP6的电平越高,振荡频率越高。


图12-2示出了当变容二极管在低频简谐波调制信号作用情况下,电容和振荡频率的变化示意图。在(a)中,U0是加到二极管的直流电压,当u=U0时,电容值为C0。uΩ是调制电压,当uΩ为正半周时,变容二极管负极电位升高,即反向偏压增大;变容二极管的电容减小;当uΩ为负半周时,变容二极管负极电位降低,即反向偏压减小,变容二极管的电容增大。在图(b)中,对应于静止状态,变容二极管的电容为C0,此时振荡频率为f0。因为f=1/2pi,所以电容小时,振荡频率高,而电容大时,振荡频率低。从图(a)
中可以看到,由于C-u曲线的非线性,虽然调制电压是一个简谐波,但电容随时间的变化是非简谐波形,但是由于LCf21,f和C的关系也是非线性。不难看出,C-u和f-C的非线性关系起着抵消作用,即得到f-u的关系趋于线性(见图(c))。

2、变容二极管调频器获得线性调制的条件

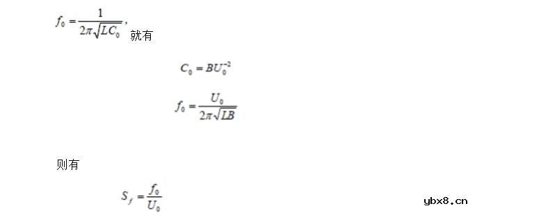
3、调频灵敏度
调频灵敏度fS定义为每单位调制电压所产生的频偏。

设变容二极管在调制电压为零时的直流电压为U0,相应的回路电容量为C0,振荡频率为

上式表明,在n=2的条件下,调制灵敏度与调制电压无关(这就是线性调制的条件),而与中心振荡频率成正比,与变容二极管的直流偏压成反比。后者给我们一个启示,为了提高调制灵敏度,在不影响线性的条件下,直流偏压应该尽可能低些,当某一变容二极管能使总电容C-u特性曲线的n=2的直线段愈靠近偏压小的区域时,那么,采用该变容二极管所能得到的调制灵敏度就愈高。当我们采用串和并联固定电容以及控制高频振荡电压等方法来获得C-u特性n=2的线性段时,如果能使该线性段尽可能移向电压低的区域,那么对提高调制灵敏度是有利的。

静态调制特性测量







波特率是什么意思_怎样计算波特率
时间:2026-04-21
RS485基本知识介绍
时间:2026-04-18
什么是激光雷达?激光雷达的构成与分类
时间:2026-04-18
Excelpoint - 一文了解SiC MOS的应用
时间:2026-04-18
什么是磁电阻器?磁电阻特性及应用
时间:2026-04-18
什么是电场?电场在电容器中的应用
时间:2026-04-18
什么是ARM64?
时间:2026-04-17
vga和hdmi的区别
时间:2026-04-17
什么是ESD?ESD及TVS的原理和应用
时间:2026-04-17
开关电源原理与维修完整版 (10)_标清视频
时间:2026-04-16
半导体光刻工艺 光刻—半导体电路的绘制
时间:2026-03-09
石英灯电子变压器电路原理
时间:2026-03-06
什么是室温超导?半导体时代将走向结束?芯...
时间:2026-03-09
什么是硅片或者晶圆?一文了解半导体硅晶圆
时间:2026-03-09
北京理工大学实现了光导型向平面光伏型量子...
时间:2026-03-09
HTCC:半导体封装的理想方式
时间:2026-03-06
如何利用可扩展的柔性中间层制备超低模量电...
时间:2026-03-09
NVIDIA CPU+GPU超级芯片大升级!
时间:2026-03-09
光伏控制器简介
时间:2026-03-06
电阻的原理和作用 电阻色环识别图 电路中电...
时间:2026-03-09