变压器作为功率传送、电压变换及绝缘隔离作用的元件,在电子技术上可以说应用非常的广泛,根据传送功率大小,电源变压器可分为多种,而不同的功率电源变压器设计也不同。
以220V为例,接下去来讲如何制作一个交流220V单相电源变压器。制作变压器过程可分为两个阶段,设计跟绕制。

电源变压器功率及铁芯截面积
那么,电源变压器如何设计?
在绕制电源变压器之前,要根据电压电流等因素,考虑并确定变压器的各项参数。
电源变压器的功率确定。
在确定功率时,需要变压器次级绕组所提供的电压乘以电流就是该绕组的功率,全部的次级绕组功率总和乘以1.1(其中10%作为变压器的损耗),就是变压器的功率。例如上图的电源变压器功率:需要变压器次级提供6V(2A)和12V(0.5A)电源,那么,变压器功率为P = (6×2+12×0.5)×1.1≈20(W)。
可根据变压器的功率P来确定铁芯截面积S的大小。

根据第一张图的面积,可以用该公式进行计算
公式不会应用没关系,我们举个例子:

20W电源变压器铁芯截面积的计算
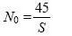
每伏电压的圈数N0的计算,可以根据下面公示进行:

每伏电压的圈数N0的计算公示
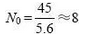
肯定有人说“我又不会套用”,我们直观点,用上面的20W变压器作为计算数值,则得出如下图结果:

20W变压器每伏电压圈数
初级跟次级绕组的圈数计算。
初级绕组圈数直接用圈数乘以220V即可,而次级绕组圈数则不能这样计算,需要用N0乘以电压再增加10%的损耗弥补。这里还是以第一张图的电源变压器功率为例:初级绕组L1为8×220=1760圈;次级绕组L2为8×6×1.1≈53圈;次级绕组L3为8×12×1.1≈106圈。
根据各绕组电流选取漆包线。
上诉结果可以得出,初级绕组L1的电流I1=20W220V≈0.09A,当然,我们需要多给点上限,所以可以使用直径0.23mm(34号)漆包线。同样,再看次级绕组L2的电流I2=2A,可以使用直径1.04mm(19号)漆包线。次级绕组L3的电流I3 = 0.5A,可以使用直径0.51mm(25号)漆包线。
计算完成后,接下去就是制作电源变压器了。
根据下图,先绝缘纸板做成一个线包框架(有点像方块的哑铃),在纸板内测平面开出初、次级绕组的引线孔(如图四个圆点)。

电源变压器制作图解
绕初级绕组方法。
先将漆包线与引出线焊接牢固,需要注意焊接点的裸露处需要用绝缘纸包好(如上图右所示),再将引出线从线包框架侧板的引线孔中穿出。在绕线完成后,线尾部分也需要跟引出线连接好。

次级绕组绕线示意图
绕完初级绕组后,用绝缘纸包裹住,然后就可以开始绕次级绕组了。

全部绕组绕线完成后标注电源电压数值
绕完全部的绕组后,在框架外再次用绝缘纸包裹住绕线部位,同时在两边标上电压跟电流数值。

E形硅钢片铁芯插入方式示意图
标注完成电压电流后,插入硅钢片铁芯。在插入铁芯时需要采用交错插装法,如上图分别将“E”铁芯交错插入,最后插入一字型的铁芯即可完成。

电源变压器制作完成
随后在铁芯的外表做一个固定框架,用来固定变压器,再经过绝缘处理,即可以正常使用。
变压器的短路阻抗值是变压器的一个重要参数,它表明变压器内阻抗的大小,即变压器在额定负荷运行时变压器本身的阻抗压降大小。它对于变压器在二次侧发生突然短路时,会产生多大的短路电流有决定性的意义,对变压器制造价格大小和变压器并列运行也有重要意义。在一般状态下的导体,多少都存有阻止电流流动的作用,而表示其阻止程度者,称为「电阻」,单位值是「欧姆」,代号为「Ω」。在交流电路中,除电阻外,还有电感和电容等皆有阻碍电流作用,通常将阻止交流电流作用的部分,总称为「阻抗」。
而根据欧姆定律,阻抗所分得的电压就是阻抗电压,变压器在运行中绕组通过额定电流时,本身阻抗所产生的电压降。阻抗电压。。。阻抗电压相同,若不同其差值不得超过±10%。
当变压器满载运行时,短路阻抗的高低对二次侧输出电压的高低有一定的影响,短路阻抗小,电压降小,短路阻抗大,电压降大。当变压器负载出现短路时,短路阻抗小,短路电流大,变压器承受的电动力大。短路阻抗大,短路电流小,变压器承受的电动力小。
所谓短路阻抗就是用电器短路形成的电阻,像涡流等。变压器的短路阻抗,是指在额定频率和参考温度下,一对绕组中、某一绕组的端子之间的等效串联阻抗Zk=Rk+jXk。由于它的值除计算之外,还要通过负载试验来确定,所以习惯上又把它称为短路电压或阻抗电压。
爱德CFXB系列直筒型双灯保温式自动电饭锅电...
时间:2026-03-06
爱华CFXB型保温式自动电饭锅电路图
时间:2026-03-06
半球Ⅰ型 Ⅱ型 Ⅲ型自动电饭锅电路图
时间:2026-03-06
格兰仕CFXB50-70B多功能自动电饭锅电路图
时间:2026-03-06
格兰仕CFXB50-70B豪华型多功能电饭锅电路图
时间:2026-03-06
华丰CFXB40-650B CFXB40-650C豪华西施电
时间:2026-03-06
华丰CFXB40-650D电脑式电饭锅电路图
时间:2026-03-06
乐宝、富豪CFXB4系列 CFXB-1H系列保温式自动...
时间:2026-03-06
乐宝CFXB15-6 CFXB40-6 CFXB40-2HD
时间:2026-03-06
乐宝CFXB45-6 CFXB80-6 CFXB45-2HD
时间:2026-03-06
玻璃釉电容器的结构与特点
时间:2026-03-05
关于STM32WL LSE 添加反馈电阻后无法起振的...
时间:2026-03-05
电阻的标称阻值和允许偏差
时间:2026-03-05
使用过滤器电容器和诱导器来抑制受辐射的EM...
时间:2026-03-05
瓷片电容的意义以及电容抗扰电路设计与分析
时间:2026-03-05
电容电感区别在哪里?特性差异是什么?可编...
时间:2026-03-05
浅谈高压贴片电容分类与性能参数
时间:2026-03-05
聚四氟乙烯电容器的结构与特点
时间:2026-03-05
漆膜电容器的结构与特点
时间:2026-03-05
复合介质电容器的结构与特点
时间:2026-03-05