因为电子设备的电路变得更为复杂,故要求成熟的电气工程设计参数具有更加临界的数值。在设计电路的每一个阶段,精确的工程计算是基本的要求。同时,在其零部件设计时,这一点也是同样重要的。所以,必须精心地设计开关电源(SMPS)中门脉冲驱动变压器的每一个零部件。
门脉冲驱动变压器在开关电源中被要求用来控制电路之间的同步动作。这些器件用来为开头电源半导件元器件如高压功率MOSFETs或IGBTs提供电脉冲。这种变压器也用作电压隔离和阻抗匹配。门脉冲驱动变压器是用来驱动电子开关器件门电路的基本脉冲变压器。设计这类变压器时,是假定其脉冲的上升、下降和上冲时间都是最佳的值。使用中要辨别它们是门脉冲驱动变压器还是其它变压器。
在基础门脉冲驱动变压器设计中,存在一系列设计变数,其中的每个变数由其专项应用决定。它们的一些通用简图及其相应的转换关系见图1所示。


图2是非常常用的隔离驱动电路,其原边类似于正激变换器中的接法,第三绕组cN和二极管cD串联用来对原边激磁电感的去磁,一般情况下,可选择pcNN=,且将cN和pN双股并绕。副边绕组sN与二极管2D、三极管2Q及3R、4R来恢复原边驱动信号的波形,并实现隔离,其中调节4R的大小,可以调节隔离驱动信号的驱动能力,2Q与3R的作用是保证MOSFET S1在断开瞬间,其门源电荷上电压的快速放电,以便提高 S1的关断速度。5R与1ZD则是用来保护S1免受损坏的两个元件,加5R后,可避免在控制电路还没有工作,功率级已经加电时因S1的DG电容和GS电容所引起的 S1之误导通及相应的损坏,其阻值可选为5K~50K;加ZD2是用来保证各种动态下S1的GS电压不会超过其规定的最大值,以避免S1的门源损坏,其稳压值可取18V左右。原边的Q1既可用MOSFET,也可用三极管,电阻1R和2R的选择比较容易,在Q1用MOSFET时,1R可取几十到数百殴姆,2R可取几千殴姆。
上述隔离驱动电路在pcNN=时,能隔离的驱动信号,其最大占空比要小于0.5,否则其变压器会因为伏秒不平衡而饱和。所以这种隔离驱动电路多用在二极管去磁双正激变换器和对称驱动半桥变换器中。如前面所说的,隔离驱动变压器的设计可先按原则选好铁芯的材料和铁芯的形状及尺寸,然后按下面的公式计算匝数:

其中:rBBB−=∆max,satBB《max,rB为剩磁,单位(Gass);cA为所选铁芯的截面积单位2)(cm,maxD为驱动信号的最大占空比,sf驱动信号的频率,单位为(Hz),sccV_为隔离驱动电路原边供电电源,单位(V)。
对计算的匝数取整数,并取pcNN=,psNN=,然后在所选择的铁芯上按安规要求绕制这三个绕组,看看是否可以绕下,如果能够绕下,且实验波形没有失真,则该隔离变压器的设计就是成功的,否则就要选择一个大一些的铁芯来重新进行计算。
在隔离驱动电路#1中,如果选择的Q1及隔离变压器都有一定的功率的话,则隔离后的驱动信号就具有一定的功率,因此这个隔离驱动电路,既可实现信号的隔离,还可实现信号的放大。一般对较大功率开关电源中的MOSFET进行隔离驱动时,只要能提供驱动瞬间的峰值电流在(1~2)A即可,非隔离驱动中,这种瞬间功率由专用的驱动IC来实现,而在隔离驱动中,这种瞬间功率就可由上述隔离驱动电路来实现,此时不再需要驱动IC。

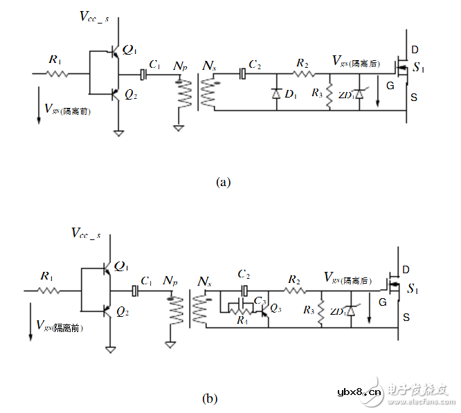
图(a)是另一种隔离驱动电路,其原边类似于不对称半桥中的接法,副边的电容和二极管来实现隔离后信号的恢复,当原边和副边匝数相同时,该隔离驱动电路在二极管D1上的波形将与隔离前的驱动信号具有完全相同的形状,而且其幅度为Vcc_s。2R、3R、1ZD的作用与隔离驱动电路#1中对应的元件类似。这个隔离驱动电路的占空比没有限制,其变压器对称地工作于B-H的I、III象限,变压器的激磁电流平均值为零。如前面所说的,该隔离驱动变压器的设计可先按原则选好铁芯的材料和铁芯的形状及尺寸,然后按下面的公式计算匝数:

其中:satmBB《,为工作磁密幅度,单位(Gass);cA为所选铁芯的截面积,单位2)(cm,D为驱动信号的占空比,sf驱动信号的频率,单位为(Hz)为隔离驱动电路原边供电电源,单位(V),显然在5.0=D时,上式最大,所以有:

对计算的匝数取整数,并取psNN=,然后在所选择的铁芯上按安规要求绕制这两个绕组,看看是否可以绕下,如果能够绕下,且实验波形没有失真,则该隔离变压器的设计就是成功的,否则就要选择一个大一些的铁芯来重新进行计算。从变压器匝数计算公式可知,同样频率、同样截面积的铁芯,在隔离驱动电路#2中的变压器匝数会远少于隔离驱动电路#1中(昨天介绍的)的变压器匝数,所以当处理的功率相同时,隔离驱动电路#2中的变压器会比隔离驱动电路#1中的变压器小。
图(a)的隔离驱动电路,在产品的大动态过程或电源保护后再恢复工作的过程中,常会因为二极管1D的没有及时导通,而导致其控制的MOSFET不能被可靠关断,从而损坏主电路。
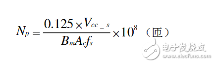
图(b)是用一个PNP三极管3Q、一个电阻4R和一个电容3C组成的电路来代替二极管1D,以保证只要变压器的副边一有负电压,三极管3Q就会立即导通,从而确保其控制的MOSFET无论在什么样的大动态下,都能可靠关断。
RS485基本知识介绍
时间:2026-04-18
什么是激光雷达?激光雷达的构成与分类
时间:2026-04-18
Excelpoint - 一文了解SiC MOS的应用
时间:2026-04-18
什么是磁电阻器?磁电阻特性及应用
时间:2026-04-18
什么是电场?电场在电容器中的应用
时间:2026-04-18
什么是ARM64?
时间:2026-04-17
vga和hdmi的区别
时间:2026-04-17
什么是ESD?ESD及TVS的原理和应用
时间:2026-04-17
开关电源原理与维修完整版 (10)_标清视频
时间:2026-04-16
开关电源原理与维修完整版 (11)_标清视频
时间:2026-04-16
半导体光刻工艺 光刻—半导体电路的绘制
时间:2026-03-09
石英灯电子变压器电路原理
时间:2026-03-06
什么是硅片或者晶圆?一文了解半导体硅晶圆
时间:2026-03-09
什么是室温超导?半导体时代将走向结束?芯...
时间:2026-03-09
北京理工大学实现了光导型向平面光伏型量子...
时间:2026-03-09
HTCC:半导体封装的理想方式
时间:2026-03-06
如何利用可扩展的柔性中间层制备超低模量电...
时间:2026-03-09
光伏控制器简介
时间:2026-03-06
电阻的原理和作用 电阻色环识别图 电路中电...
时间:2026-03-09
NVIDIA CPU+GPU超级芯片大升级!
时间:2026-03-09