变压器的差动保护是变压器的主保护,是按循环电流原理装设的。主要用来保护双绕组或三绕组变压器绕组内部及其引出线上发生的各种相间短路故障,同时也可以用来保护变压器单相匝间短路故障。
在绕组变压器的两侧均装设电流互感器,其二次侧按循环电流法接线,即如果两侧电流互感器的同级性端都朝向母线侧,则将同级性端子相连,并在两接线之间并联接入电流继电器。
变压器的差动保护是变压器的主保护,是按循环电流原理装设的。 主要用来保护双绕组或三绕组变压器绕组内部及其引出线上发生的各种相间短路故障,同时也可以用来保护变压器单相匝间短路故障。 在绕组变压器的两侧均装设电流互感器,其二次侧按循环电流法接线,即如果两侧电流互感器的同级性端都朝向母线侧,则将同级性端子相连,并在两接线之间并联接入电流继电器。在继电器线圈中流过的电流是两侧电流互感器的二次电流差,也就是说差动继电器是接在差动回路的。 从理论上讲,正常运行及外部故障时,差动回路电流为零。
实际上由于两侧电流互感器的特性不可能完全一致等原因,在正常运行和外部短路时,差动回路中仍有不平衡电流Iumb流过,此时流过继电器的电流IK为 Ik=I1-I2=Iumb 要求不平衡电流应尽量的小,以确保继电器不会误动。 当变压器内部发生相间短路故障时,在差动回路中由于I2改变了方向或等于零(无电源侧),这是流过继电器的电流为I1与I2之和,即 Ik=I1+I2=Iumb 能使继电器可靠动作。 变压器差动保护的范围是构成变压器差动保护的电流互感器之间的电气设备、以及连接这些设备的导线。由于差动保护对保护区外故障不会动作,因此差动保护不需要与保护区外相邻元件保护在动作值和动作时限上相互配合,所以在区内故障时,可以瞬时动作。
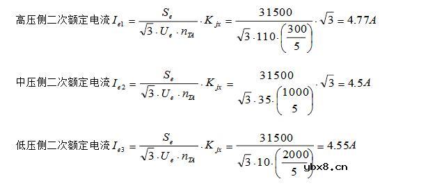
1、额定电流计算:

2、电流互感器二次连接臂电流:

3、二次谐波电流
基波值×第二拐点×二次谐波比率×启动比
4、比例差动最小起动电流

5、差动动作电流

三圈变压器参数如下表:

计算:

1) 差动门槛


4) 二次谐波制动系数
建议取0.18
5) TA断线解除电流 建议取1.2Ie
6) 差动速断 建议取7.0Ie


试验方法及结果:
1)110kV侧加入A相电流,显示值
110kV侧加入4.77A电流入装置,则
A相电流显示4.77A
A相差流显示5A
A相制动电流显示2.5A
2)在单相差动臂加入电流,各侧差动动作电流分别为:

RS485基本知识介绍
时间:2026-04-18
什么是激光雷达?激光雷达的构成与分类
时间:2026-04-18
Excelpoint - 一文了解SiC MOS的应用
时间:2026-04-18
什么是磁电阻器?磁电阻特性及应用
时间:2026-04-18
什么是电场?电场在电容器中的应用
时间:2026-04-18
什么是ARM64?
时间:2026-04-17
vga和hdmi的区别
时间:2026-04-17
什么是ESD?ESD及TVS的原理和应用
时间:2026-04-17
开关电源原理与维修完整版 (10)_标清视频
时间:2026-04-16
开关电源原理与维修完整版 (11)_标清视频
时间:2026-04-16
半导体光刻工艺 光刻—半导体电路的绘制
时间:2026-03-09
石英灯电子变压器电路原理
时间:2026-03-06
什么是硅片或者晶圆?一文了解半导体硅晶圆
时间:2026-03-09
什么是室温超导?半导体时代将走向结束?芯...
时间:2026-03-09
北京理工大学实现了光导型向平面光伏型量子...
时间:2026-03-09
HTCC:半导体封装的理想方式
时间:2026-03-06
如何利用可扩展的柔性中间层制备超低模量电...
时间:2026-03-09
光伏控制器简介
时间:2026-03-06
电阻的原理和作用 电阻色环识别图 电路中电...
时间:2026-03-09
NVIDIA CPU+GPU超级芯片大升级!
时间:2026-03-09