一台双绕组理想变压器如图1-2所示。

理想变压器成立条件:
1)一个具有无穷大导磁性的无损耗铁芯;
2)无损耗电气绕组;
3)无漏磁通。
根据电力变压器计算漏抗的思路,可以得到一种基于以下公式的简化计算方法。

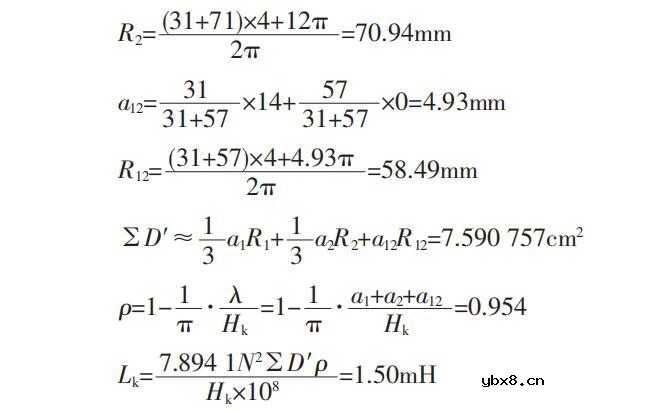
将矩形绕组按边长等效的原则等效为圆形按式(8)进行计算,这样唯一不同的就只剩下漏磁空道面积蒡D′的计算。 下面以实例来计算。


式中 R1、R2———等效的圆形绕组半径(到裸线)
R12———绕组Ⅰ和绕组Ⅱ间气道的等效平 均半径
a12———绕 组Ⅰ和 绕 组Ⅱ间等效气道的宽度(铜到铜)
R1、R2、R12 和 a12 分 别 是 图 2b 中 矩 形 绕 组 的R1a、R2a、R12a、a12-a 按边长等效的原则等效为圆形绕组对应的尺寸。
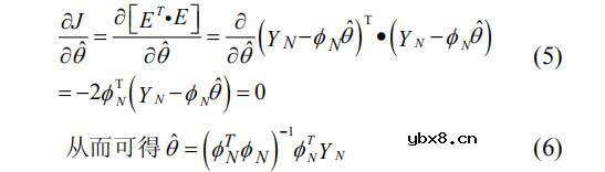
最小二乘法是一种数学优化技术,它通过最小化误差平方和找到一组数据的最佳函数匹配。用最简的方法求得一些绝对不可知的真值,而令误差平方之和为最小。
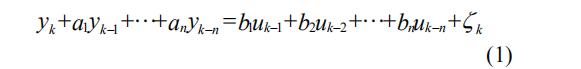
设一单输入单输出系统,用如下随机差分方程描述。

其中:{uk,yk},k=1,2,3为系统输入输出对,n已知。对ai,bi进行参数估计,得到相应的估计参数ai,bi。则可得到系统的近似模型为

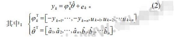
ek为模型残差。当有N+n对输入输出数据时,可以写出N个方程组

用估计的参数向量θ代替原参数向量θ,使残差最小。即使残差平方和

最小。该式就是参数估计准则,称为最小二乘估计。极小化估计准则J的必要条件是


图1给出了Y/∆接线变压器的模型,根据变压器原副边电磁关系,可得变压器的电压平衡方程:

式中:RA,RB,RC,,Rab,Rbc,Rca为变压器原副边绕组电阻,LlA,LlB,LlC,Llab,Llbc,Llca为变压器原副边绕组的漏感,eA,eB,eC,eab,ebc,eca为感应电动势。vA,vB,vC,vab,vbc,vca为原副边相电压,iA,iB,iC,iab,ibc,ica为原副边相电流。在没有内部故障的情况下:

根据式(13)可以将式(7)式(10)合成一个等式,但式(10)中含有变压器二次侧相电流,而相电流是无法求取的,所以将式(13)做如下变换消去相电流:

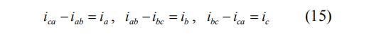
变压器相线电流关系如式(15)所示:

假设:

为了简便起见,以A、C两相为例,将式(7)~式(12)代入式(14)中,得

也可以将其简化为:

RS485基本知识介绍
时间:2026-04-18
什么是激光雷达?激光雷达的构成与分类
时间:2026-04-18
Excelpoint - 一文了解SiC MOS的应用
时间:2026-04-18
什么是磁电阻器?磁电阻特性及应用
时间:2026-04-18
什么是电场?电场在电容器中的应用
时间:2026-04-18
什么是ARM64?
时间:2026-04-17
vga和hdmi的区别
时间:2026-04-17
什么是ESD?ESD及TVS的原理和应用
时间:2026-04-17
开关电源原理与维修完整版 (10)_标清视频
时间:2026-04-16
开关电源原理与维修完整版 (11)_标清视频
时间:2026-04-16
半导体光刻工艺 光刻—半导体电路的绘制
时间:2026-03-09
石英灯电子变压器电路原理
时间:2026-03-06
什么是硅片或者晶圆?一文了解半导体硅晶圆
时间:2026-03-09
什么是室温超导?半导体时代将走向结束?芯...
时间:2026-03-09
北京理工大学实现了光导型向平面光伏型量子...
时间:2026-03-09
HTCC:半导体封装的理想方式
时间:2026-03-06
如何利用可扩展的柔性中间层制备超低模量电...
时间:2026-03-09
光伏控制器简介
时间:2026-03-06
电阻的原理和作用 电阻色环识别图 电路中电...
时间:2026-03-09
NVIDIA CPU+GPU超级芯片大升级!
时间:2026-03-09