三绕组变压器的每相有3个绕组,当1个绕组接到交流电源后,另外2个绕组就感应出不同的电势,这种变压器用于需要2种不同电压等级的负载。
1、发电厂和变电所通常出现3种不同等级的电压,所以三绕组变压器在电力系统中应用比较广泛。
2、每相的高中低压绕组均套于同一铁心柱上。为了绝缘使用合理,通常把高压绕组放在最外层,中压和低压绕组放在内层。
变压器的短路阻抗百分比,在数值上与变压器短路电压百分比相等。它是指将变压器二次绕阻短路,在一次绕阻施加电压,当二次绕阻通过额定电流时,一次绕阻施加的电压与额定电压之比的百分数。
变压器的短路阻抗值百分比是变压器的一个重要参数,它表明变压器内阻抗的大小,即变压器在额定负荷运行时变压器本身的阻抗压降大小。它对于变压器在二次侧发生突然短路时,会产生多大的短路电流有决定性的意义,对变压器制造价格大小和变压器并列运行也有重要意义。
由于这些特点,于是短路阻抗值习惯使用百分比数值。如果在某些场合需要使用实际数值计算,当然要换算,其公式为:
X=Uk%*Un平方*1000/(100Sn)
三绕组变压器是非常常见的一种电力变压器,通常各绕组的容量会选取为220kV侧180MVA,110kV侧180MVA,35kV侧90MVA.也就是说220kV,110kV侧绕组均为全容量,35kV侧为半容量。若这台变压器220kV输入满载180MVA,其容量将被110kV,35kV分担。分担比例在110kV侧180MVA,35kV侧0MVA(即空载)和110kV侧90MVA,35kV侧90MVA之间。在不考虑损耗的情况下220kV输入容量恒等于110kV侧和35kV侧输出容量之和.
设一、二、三绕组匝数分别为


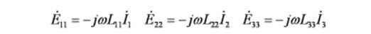
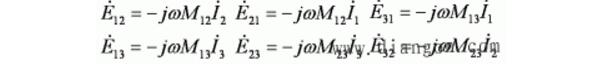
磁通和电动势:

自感电动势:

互感电动势:

(1)主磁通:与三

(2)漏磁通:只铰链一个或两个绕组的磁通,前者称自漏,后者为互漏;

由三个绕组的合成磁动势建立。经铁心磁路闭合,激磁阻抗随铁心饱和程度而变化。
自漏磁通由一个绕组的磁动势所产生,互漏磁通由两个绕组的磁动势产生,它们主要通过空气和油闭合,相应的漏抗为常数
按上图所示正方向

可画出三绕组变压器简化等效电路如下图。

由于忽略励磁电流,等效电路中的感抗都具有漏电抗性质,它们是不变的常数,但每一个感抗都由该绕组的自感以及三个绕组之间的互感组合而成,所以在三绕组变压器中,两个二次绕组之间是相互影响的,任何一二次绕组端电压的变化不仅决定于本绕组负载电流的大小及功率因数,而且还与另一个二次绕组负载电流的大小及功率因数有关。
RS485基本知识介绍
时间:2026-04-18
什么是激光雷达?激光雷达的构成与分类
时间:2026-04-18
Excelpoint - 一文了解SiC MOS的应用
时间:2026-04-18
什么是磁电阻器?磁电阻特性及应用
时间:2026-04-18
什么是电场?电场在电容器中的应用
时间:2026-04-18
什么是ARM64?
时间:2026-04-17
vga和hdmi的区别
时间:2026-04-17
什么是ESD?ESD及TVS的原理和应用
时间:2026-04-17
开关电源原理与维修完整版 (10)_标清视频
时间:2026-04-16
开关电源原理与维修完整版 (11)_标清视频
时间:2026-04-16
半导体光刻工艺 光刻—半导体电路的绘制
时间:2026-03-09
石英灯电子变压器电路原理
时间:2026-03-06
什么是硅片或者晶圆?一文了解半导体硅晶圆
时间:2026-03-09
什么是室温超导?半导体时代将走向结束?芯...
时间:2026-03-09
北京理工大学实现了光导型向平面光伏型量子...
时间:2026-03-09
HTCC:半导体封装的理想方式
时间:2026-03-06
如何利用可扩展的柔性中间层制备超低模量电...
时间:2026-03-09
光伏控制器简介
时间:2026-03-06
电阻的原理和作用 电阻色环识别图 电路中电...
时间:2026-03-09
NVIDIA CPU+GPU超级芯片大升级!
时间:2026-03-09