变压器是将两组或两组以上的线圈绕制在同一个线圈骨架上,或绕在同一铁芯上制成的。通常情况下,把变压器电源输入端的绕组称为初级绕组(又称一次绕组),其余的绕组为次级绕组(又称二次绕组),如图2-1所示。

图2-1 变压器的内部结构
单相变压器和三相变压器的内部结构基本相同,均是由铁芯(器身)和绕组两部分组成,如图2-2所示。绕组是变压器的电路,铁芯是变压器的磁路,二者构成变压器的核心即电磁部分。

图2-2 单相变压器和三相变压器的内部结构
常用的变压器铁芯有多种类型,典型的结构分别为口字形和日字形,如图2-3所示。为了减小涡流和磁滞损耗,铁芯通常选用磁导率较高、相互绝缘、厚度在0.35~0.5mm的硅钢片叠合而成,有的变压器铁芯也选用高磁导率的坡莫合金、铁氧体等材料制成。

图2-3 变压器的两种铁芯
变压器的线圈通常称为绕组,相当于变压器的电路部分。绕组是用绝缘良好的漆包线、纱包线或丝包线在铁芯(骨架)上绕制而成的,如图2-4所示。变压器在工作时,电源输入端的绕组为初级绕组(或称一次绕组),电源输出端的绕组为次级绕组(或称二次绕组)。

图2-4 变压器的绕组变压器内部
绕组相数不同,其绕组数也不同。单相变压器的内部有2组绕组,而三相变压器的内部有6组绕组,如图2-5所示。

图2-5 单相变压器和三相变压器内部绕组结构示意图
变压器的工作原理,我们将从空载运行、负载运行、阻抗变换,三种情况进行讲述。
如下图所示,变压器的空载运行示意图。

变压器的空载运行
变压器的一次绕组接上交流电压【u1】,二次侧开路,这种运行状态称为空载运行。这时二次绕组中的电流i2=0,电压为开路电压【u20】,一次绕组通过的电流为空载电流【i10】,各量的方向按习惯参考方向选取。上图中【N1】为一次绕组的匝数,【N2】为二次绕组的匝数。
由于二次侧开路,这时变压器的。一次侧电路相当于一个交流铁心线圈电路,通过的空载电流【i10】就是励磁电流。
磁通势【N1i10】在铁心中产生的主磁通【Φ】通过闭合铁心,既穿过一次绕组,也穿过二次绕组,于是在一、二次绕组中分别感应出电动势【e1】【e2】当e1、e2与Φ的参考方向之间符合右手螺旋定则时,由法拉第电磁感应定律可得

e1、e2的有效值分别为

式中【f】为交流电源的频率,【Φm】为主磁通的最大值。
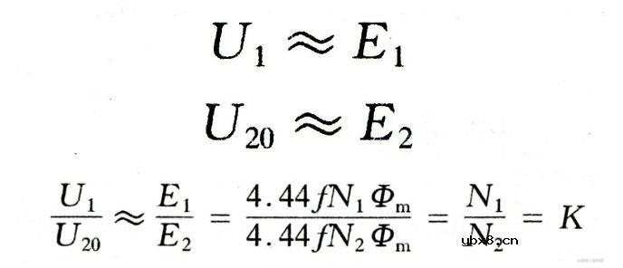
若略去漏磁通的影响,不考虑绕组上电阻的压降,则可认为一、二次绕组上电动势的有效值近似等于一、二次绕组上电压的有效值,即

从上式可见,变压器空载运行时,一、二次绕组上电压的比值等于两者的匝数比,这个比值【K】称为变压器的变压比或变比。
当一、二次绕组匝数不同时,变压器就可以把某一数值的交流电压变换为同频率的另一数值的电压,这就是变压器的电压变换作用。
当一次绕组匝数N1比二次绕组匝数N2多时,K》1,这种变压器称为降压变压器;
当一次绕组匝数N1比二次绕组匝数N2少时,K《》升压变压器;
如下图所示,变压器的负载运行示意图。

变压器的负载运行
如果变压器的二次绕组接上负载,则在二次绕组感应电动势【e2】的作用下,将产生二次绕组电流【i2】。
这时,一次绕组的电流由【i10】增大为【i1】,二次侧的电流【i2】越大,一次侧的电流也越大。
因为二次绕组有了电流【i2】,所以二次侧的磁通势【N2i2】也要在铁心中产生磁通,这时变压器铁心中的主磁通系由一、二次绕组的磁通势共同产生。
显然,二次侧的磁通势【N2i2】的出现,将有改变铁心中原有主磁通的趋势。
但是,在一次绕组的外加电压(电源电压)不变的情况下,主磁通基本保持不变,因而一次绕组的电流将由【i10】增大为【i1】使得一次绕组的磁通势由【N1i10】变成【N1i1】,用于抵消二次侧磁通势【N2i2】的作用。
也就是说,变压器负载时的总磁通势应与空载时的磁通势基本相等,用公式表示,即

上式便是变压器的磁通势平衡方程式。
这就是为什么,变压器的输入电流会随负载电流增大而增大,起到能量传递的作用。
如下图所示,变压器的阻抗变换示意图。

变压器的阻抗变换
变压器除了可以变压和变流,还可以变换阻抗。
上图所示,变压器原边接电源【u1】,副边接负载阻抗【lZLI】,对于电源来说,图中点划线框内的电路可用另一个阻抗【lZ‘LI】来等效代替。
所谓等效,就是它们从电源吸取的电流和功率相等。
因为当电源端拥有高电压低电流时,是很难驱动低阻负载的,这时需要变换为低电压大电流,达到等功率传递的目的。
早期的电子管功放就是如此,如下图。
电子管功放存在输入输出变压器用于阻抗变换
电子管工作在高电压低电流的环境,无法直接驱动电阻只有8Ω的动圈喇叭,因此需要变压器做阻抗变换,将功率传递成低压大电流的方式驱动喇叭。
P(功率)=U(电压)/I(电流)
因为,当功率恒定的情况下,电压越高,电流越小,反之,电压越低,电流越大。
高精度功率分析仪LMG系列产品,可以测量变压器铁芯和线圈的磁性特征以及对于功率损耗的精确测量,用高频信号测量硅钢磁芯和铁氧体磁芯的功率损耗:准确、简单、实时。
包括磁通量的峰值,磁场强度,低频或高频工作下的磁芯的导磁系数,对于应用磁芯的磁性元件的质控非常有帮助。传统的测量方法需要正弦磁场强度或者昂贵复杂的信号源,由于测试的重点是饱和区间,所以对信号源的输出范围要求很高。如果有一台智能的测试仪器,配合低成本的电源甚至谐波扰动很大的市电都可以实现的话,将会使得测试变得更简单经济有效。
测量功率损耗
铁氧化磁芯的损耗和磁滞环面积成正比,另外也和温度,频率,磁通密度,铁素体材质,磁芯的几何体形状有关,通过施加一个任意波形型号于包芯的一次侧,然后测量二次测的开路电压,LMG系列产品可以轻松确定损耗。
初级线圈电流峰值(Ipk)与磁场强度(Hpk)成正比,次级线圈开路电压整流值(Urect)和磁通密度成正比。磁滞回线的面积和体磁铁损耗的能量成正比。
总的线绕式铁芯损耗包含了磁滞损耗Ploss、涡电流损耗、线圈损耗及其它剩余损耗,当测量铁氧体磁芯损耗时,铜损不应计算在内,测量可以通过下列接线图来实现:
这种情况下,功率损失Ploss = Utrms · Itrms · cos φ。,利用这个测试线路,一次侧铜阻造成的压降没有影响,因为一次侧只测量了电流,为了测量实时的磁化电压,二次侧回路没有电流流通。一次测和二次侧铜损同时被排除在了功率损耗之外。由于对Utrms, Itrms 和 cos的精确测量,磁滞回线的完整和典型曲线不需要知道,能量损耗可以通过LMG系列产品直接测量、实时的显示和读取。
为了更精确的解决这个测量难题,如下细节需要注意:
功率损耗的计算误差公式

总的损耗误差包含了测量的电压电流值的幅值误差以及他们延迟不同造成的误差,这些延迟是由于每个测量通道的延迟时间不同造成。通常损耗非常小而且相位延迟接近90度,所以cos几乎为0,Δcos比上cos的值就会变得很大,给测量误差带来很大影响。
例如:
测量一个铁氧体磁芯损耗,cos为0.06,一次测施加50KHz正弦信号,利用公式: = t 360° f,延迟时间t大概只有3.8ns,但是结果Δcos cos = 2%,这样小的延迟已经存在于测量线小于1m回路中,另外还没算上ΔU /U 和 ΔI/I引起的误差。但是,如果用LMG这样高精度的功率分析仪,这些问题可以忽略掉。
对于这样困难的测量,选择一台好的仪器非常关键,需要的不仅是电压电流的高精度,更重要的是功率测量的高精度,另外,测试回路的精心设计对于取得好的测量结果也非常重要,测量回路一定要尽量短而且等长。
LMG功率分析仪转为此类应用而生,独有的延迟调节功能,对于4ns内的电压电流通道之间的延迟可以自由调节。
由于LMG强大的功能,用户可以获得另外磁场相关的参数:
磁场强度:Hpk=Ipp/2*n1/lmagn
磁通密度:Bpk = Urect/(4 · f · n2 · A)
相对幅值导磁系数:ua=Bpk/Hpk/1.2566e6
磁芯损耗:Pfe = P * n1/n2
LMG系统功率分析仪测试过程:
按照图1把功率分析仪和电源及待测设备连接,通过脚本编辑器内置公式,计算出来的值可以直接读取,图形显示或打印。
特别是磁场强度、磁通密度、导磁系数这些无法直接测量的量可以实时的显示在屏幕中。



结论:
通过直接测量获得的参数:整流过的传导电压,频率,一次侧电流峰值以及用户提供的铁氧体磁芯尺寸数据,可以算出磁通量,磁场强度,导磁系数,这些量可以通过功率分析仪LMG系列实时的显示。
RS485基本知识介绍
时间:2026-04-18
什么是激光雷达?激光雷达的构成与分类
时间:2026-04-18
Excelpoint - 一文了解SiC MOS的应用
时间:2026-04-18
什么是磁电阻器?磁电阻特性及应用
时间:2026-04-18
什么是电场?电场在电容器中的应用
时间:2026-04-18
什么是ARM64?
时间:2026-04-17
vga和hdmi的区别
时间:2026-04-17
什么是ESD?ESD及TVS的原理和应用
时间:2026-04-17
开关电源原理与维修完整版 (10)_标清视频
时间:2026-04-16
开关电源原理与维修完整版 (11)_标清视频
时间:2026-04-16
半导体光刻工艺 光刻—半导体电路的绘制
时间:2026-03-09
石英灯电子变压器电路原理
时间:2026-03-06
什么是硅片或者晶圆?一文了解半导体硅晶圆
时间:2026-03-09
什么是室温超导?半导体时代将走向结束?芯...
时间:2026-03-09
北京理工大学实现了光导型向平面光伏型量子...
时间:2026-03-09
HTCC:半导体封装的理想方式
时间:2026-03-06
如何利用可扩展的柔性中间层制备超低模量电...
时间:2026-03-09
光伏控制器简介
时间:2026-03-06
电阻的原理和作用 电阻色环识别图 电路中电...
时间:2026-03-09
NVIDIA CPU+GPU超级芯片大升级!
时间:2026-03-09