理论研究证明,变压器容量与负载之间的匹配,当变压器的铜铁损相等时,运行最经济。负荷率β=50%~70%。长期以来,人们认为负荷率低于40%不经济,需要更换容量较小的变压器来提高产值。常用的节电计算方法是
ΔP=PD0-PX0 (1)
式中 PD0,PX0——原来与更换后的变压器空载损耗。
这种计算方法虽然简单但不严密,其主要原因是忽略了变压器的铜损。大容量变压器有功损耗计算公式:
ΔP D=PD0+βD2XPDK (2)
小容量变压器的有功损耗计算公式
ΔP X=PX0+βX2XPXK (3)
式中 PD0、PX0——大、小变压器的空载损耗kW
PDK、PXK——大、小变压器的短路损耗kW
βD、βX一一大、小变压器的负荷率与容量之间的关系是
βX/βD =SDE/SXE (4)
式中SDE、SXE分别为大、小变压器的额定容量
将(4)式代入(3)式


再用(2)减去(5)式得更换变压器的节能公式
由(6)式名出,(1)式是(6)式的一种βD2 =0时的特殊形式,即没有考虑铜损。
很显然,(6)式的第三项永远是一个负值。证明如下:

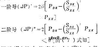
ΔP呈负值,其物理意义就是更换的变压能器不节能。因为ΔP仅与βD有关,对(6)式求βD的导数

因而ΔP有极大值存在。令(ΔP)’=0得βD =0即
ΔP的极大值=PD0—PX0此即为传统的节能计算公式(l)的形式。
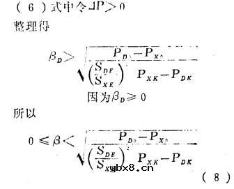
再讨论ΔP何时为正值

(8)式就是更换变压器部时必须遵循的基本原则.遵循这个原则,更换变压器后才是节能的。附图是SL7-100/10为例更换各种变压器时,节能值ΔP与负荷率的变化曲线的示意图。它是一族以y轴为对称轴的抛物线的一半。
曲线示意:当更换容量小对100kVA的任何一台变压器时,节能ΔP最大值是负荷率βD=0时.ΔP的位随βD的增大而减小,没有极小值。凡在(8)式的范围内变化时永远为正值。即表示节能。超出此范围就是费能。
相关热词:#母子变压器的基本原理 #电子电路图
RS485基本知识介绍
时间:2026-04-18
什么是激光雷达?激光雷达的构成与分类
时间:2026-04-18
Excelpoint - 一文了解SiC MOS的应用
时间:2026-04-18
什么是磁电阻器?磁电阻特性及应用
时间:2026-04-18
什么是电场?电场在电容器中的应用
时间:2026-04-18
什么是ARM64?
时间:2026-04-17
vga和hdmi的区别
时间:2026-04-17
什么是ESD?ESD及TVS的原理和应用
时间:2026-04-17
开关电源原理与维修完整版 (10)_标清视频
时间:2026-04-16
开关电源原理与维修完整版 (11)_标清视频
时间:2026-04-16
半导体光刻工艺 光刻—半导体电路的绘制
时间:2026-03-09
石英灯电子变压器电路原理
时间:2026-03-06
什么是硅片或者晶圆?一文了解半导体硅晶圆
时间:2026-03-09
什么是室温超导?半导体时代将走向结束?芯...
时间:2026-03-09
北京理工大学实现了光导型向平面光伏型量子...
时间:2026-03-09
HTCC:半导体封装的理想方式
时间:2026-03-06
如何利用可扩展的柔性中间层制备超低模量电...
时间:2026-03-09
光伏控制器简介
时间:2026-03-06
电阻的原理和作用 电阻色环识别图 电路中电...
时间:2026-03-09
NVIDIA CPU+GPU超级芯片大升级!
时间:2026-03-09