绕组折算:由于变压器一、二次侧绕组的匝数为N1N2,绕组的感应电动势E1E2,这就给分析变压器的工作特性和绘制相量图增加了困难。为了克服这个困难,常用一假想的绕组来代替其中一个绕组,使之成为变比k=1的变压器,这样就可以把一、二次侧绕组联成一个等效电路,从而大大简化变压器的分析计算。这种方法称为绕组折算。折算后的量在原来的符号上加一个上标号“′”以示区别。折算只是人为地处理问题的方法,它不会改变变压器运行时的电磁本质。
需要注意的一点是:习惯上,我们都是将变压器二次侧数据折算到一次测。
(1)二次侧电动势和电压的折算值
由于折算后的二次绕组和一次绕组有相同的匝数,根据电动势与匝数成正比的关系可得:

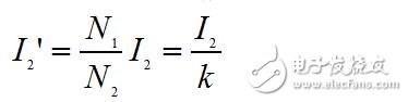
(2)二次侧电流的折算值:
根据折算前后一二次绕组磁动势不变的原则,可得:


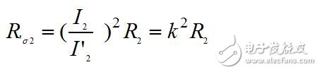
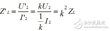
(3)二次侧阻抗的折算值
根据折算前后二次绕组的铜损耗不变的原则,可得:

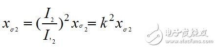
由折算前后漏磁通及无功损耗不变,得:

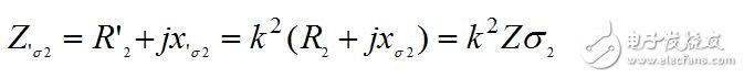
所以,漏阻抗的折算值为:

负载阻抗的折算值:

变压器的等效电路:
根据折算后的方程,可以作出变压器的等效电路。


由简化等效电路可知,短路阻抗起限制短路电流的作用,由于短路阻抗值很小,所以变压器的短路电流值较大,一般可达额定电流的10~20倍。
作相量图的步骤——对应T型等效电路, 假定变压器带感性负载。

作相量图的步骤(假定带感性负载)——对应简化等效电路
由等效电路可知

根据方程可作出简化相量图

RS485基本知识介绍
时间:2026-04-18
什么是激光雷达?激光雷达的构成与分类
时间:2026-04-18
Excelpoint - 一文了解SiC MOS的应用
时间:2026-04-18
什么是磁电阻器?磁电阻特性及应用
时间:2026-04-18
什么是电场?电场在电容器中的应用
时间:2026-04-18
什么是ARM64?
时间:2026-04-17
vga和hdmi的区别
时间:2026-04-17
什么是ESD?ESD及TVS的原理和应用
时间:2026-04-17
开关电源原理与维修完整版 (10)_标清视频
时间:2026-04-16
开关电源原理与维修完整版 (11)_标清视频
时间:2026-04-16
半导体光刻工艺 光刻—半导体电路的绘制
时间:2026-03-09
石英灯电子变压器电路原理
时间:2026-03-06
什么是硅片或者晶圆?一文了解半导体硅晶圆
时间:2026-03-09
什么是室温超导?半导体时代将走向结束?芯...
时间:2026-03-09
北京理工大学实现了光导型向平面光伏型量子...
时间:2026-03-09
HTCC:半导体封装的理想方式
时间:2026-03-06
如何利用可扩展的柔性中间层制备超低模量电...
时间:2026-03-09
光伏控制器简介
时间:2026-03-06
电阻的原理和作用 电阻色环识别图 电路中电...
时间:2026-03-09
NVIDIA CPU+GPU超级芯片大升级!
时间:2026-03-09