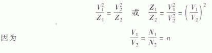
如图6-3 所示,当变压器的次级负载阻抗Z2 发生变化时,初级阻抗Z2会立即受到次级的反射而变化。这种阻抗的变化关系,可以通过下面公式的推导得出。

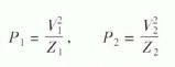
根据欧姆定律,下式成立:

如果不考虑变压器的损耗,则输入功率P1等于输出功率P2,即

从上面的公式推导可以得出.变压器的初、次级阻抗比等于初、次级匝数比的平方。因此,变压器可以通过改变初、次级匝数的方法居到变换阻抗的作用。
当电子电路输入端阻抗与信号源、内阳相等时,信号掘可以把信号功率最大限度地传送给电路。当负载阻抗与电子电路的输出阻抗相等时,负载上得到的功率最大。这种情况在电子电路中称为阻抗匹配变压器的阻抗变换功能,在阻抗匹配中可发阵作用。
RS485基本知识介绍
时间:2026-04-18
什么是激光雷达?激光雷达的构成与分类
时间:2026-04-18
Excelpoint - 一文了解SiC MOS的应用
时间:2026-04-18
什么是磁电阻器?磁电阻特性及应用
时间:2026-04-18
什么是电场?电场在电容器中的应用
时间:2026-04-18
什么是ARM64?
时间:2026-04-17
vga和hdmi的区别
时间:2026-04-17
什么是ESD?ESD及TVS的原理和应用
时间:2026-04-17
开关电源原理与维修完整版 (10)_标清视频
时间:2026-04-16
开关电源原理与维修完整版 (11)_标清视频
时间:2026-04-16
半导体光刻工艺 光刻—半导体电路的绘制
时间:2026-03-09
石英灯电子变压器电路原理
时间:2026-03-06
什么是硅片或者晶圆?一文了解半导体硅晶圆
时间:2026-03-09
什么是室温超导?半导体时代将走向结束?芯...
时间:2026-03-09
北京理工大学实现了光导型向平面光伏型量子...
时间:2026-03-09
HTCC:半导体封装的理想方式
时间:2026-03-06
如何利用可扩展的柔性中间层制备超低模量电...
时间:2026-03-09
光伏控制器简介
时间:2026-03-06
电阻的原理和作用 电阻色环识别图 电路中电...
时间:2026-03-09
NVIDIA CPU+GPU超级芯片大升级!
时间:2026-03-09