在有些情况下音频变压器需要自行设计和制作,下面介绍音频变压器简易设计步骤及方法。
1.确定初级线图的电感及漏感
为了保证音频变压器的频率特性,初级电感L 应大一点,以满足通频带下限频率的要求。音频变压器的漏感将会影响通频带上限频率的特性,因此它小一些较好。如果己知音频变压器所使用的频率范围、负载阻抗以及上、下限频率的允许衰耗值,则可用表6-13 列出的公式进行计算,以确定音频变压器的初级电感值和漏感值。

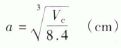
2. 选择变压器铁心
变压器铁心的体积Vc为:

3 计算铁心舌宽及叠辱
设铁心厚度b =1.5α( 舌宽) ,则舌宽可由下式确定:

根据求得的舌宽α 值,查找E 型铁心片规格,选取与α 计算值近似的铁心型号。
4. 变压器初级匝数的确定
初级匝数N1可由下式计算,即

5. 变压器次级匝数的确定
先由阻抗求出音频变压器的初、次级匝数比:

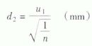
6. 计算绕制导线直径
( 1)初级导线在径
一般音频变压器的初级流过的电流都有宣流和交流两种分量,因而初级流过的平均电流应为

(2) 次级导线直径
音频变压器的次级一般不含直流分量,但考虑到次级绕组反射至初级绕组的阻抗,次级导线直径应为

7. 设计验算
由于磁性材料的磁化曲线是非线性的,因此在音频信号功率较大时,磁感应密度较大,磁化曲线的非线性将引起音频信号的失真。为此,必须对最大磁通密度进行一次验算.使验算结果小于铁心给出的最大磁通密度,这样才能保证失真度符合使用要求。验算式如下:
RS485基本知识介绍
时间:2026-04-18
什么是激光雷达?激光雷达的构成与分类
时间:2026-04-18
Excelpoint - 一文了解SiC MOS的应用
时间:2026-04-18
什么是磁电阻器?磁电阻特性及应用
时间:2026-04-18
什么是电场?电场在电容器中的应用
时间:2026-04-18
什么是ARM64?
时间:2026-04-17
vga和hdmi的区别
时间:2026-04-17
什么是ESD?ESD及TVS的原理和应用
时间:2026-04-17
开关电源原理与维修完整版 (10)_标清视频
时间:2026-04-16
开关电源原理与维修完整版 (11)_标清视频
时间:2026-04-16
半导体光刻工艺 光刻—半导体电路的绘制
时间:2026-03-09
石英灯电子变压器电路原理
时间:2026-03-06
什么是硅片或者晶圆?一文了解半导体硅晶圆
时间:2026-03-09
什么是室温超导?半导体时代将走向结束?芯...
时间:2026-03-09
北京理工大学实现了光导型向平面光伏型量子...
时间:2026-03-09
HTCC:半导体封装的理想方式
时间:2026-03-06
如何利用可扩展的柔性中间层制备超低模量电...
时间:2026-03-09
光伏控制器简介
时间:2026-03-06
电阻的原理和作用 电阻色环识别图 电路中电...
时间:2026-03-09
NVIDIA CPU+GPU超级芯片大升级!
时间:2026-03-09