电感串联和并联的情况在电路中也偶尔会出现,如果我们知道了电阻、电容串并联,那么电感也可以通过串联、并联形成新的电感。现在我们分别来讨论电感串联和电感并联时总电感量怎么算?
01
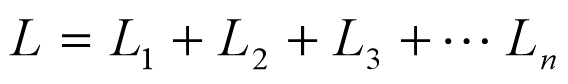
电感的串联
电感串联时头尾相连,其总电感呈增加状态,为串联电路中所有电感量的总和。规律与电阻串联时等效电阻的计算相似。


电感串联计算公式
02
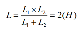
电感的并联
电感并联时头头相连、尾尾相连,其总电感呈减少状态,其等效电感值的倒数等于各电感值倒数之和。规律与电阻并联时等效电阻的计算相似。


电感并联计算公式
例1.如图1所示电路,已知L1 = 3H,L2 = 6H,i = 6Sin(314t)A,求电压u(t)和电流i1

图1
解:两个并联电感的等效电感L为:

根据电感的伏安特性,算出:

所以L1、L2并联电阻的分流公式,得到电流i1:

最后小编考考大家:例图分析:如图1所示,求AB端口总电感是多少H?

RS485基本知识介绍
时间:2026-04-18
什么是激光雷达?激光雷达的构成与分类
时间:2026-04-18
Excelpoint - 一文了解SiC MOS的应用
时间:2026-04-18
什么是磁电阻器?磁电阻特性及应用
时间:2026-04-18
什么是电场?电场在电容器中的应用
时间:2026-04-18
什么是ARM64?
时间:2026-04-17
vga和hdmi的区别
时间:2026-04-17
什么是ESD?ESD及TVS的原理和应用
时间:2026-04-17
开关电源原理与维修完整版 (10)_标清视频
时间:2026-04-16
开关电源原理与维修完整版 (11)_标清视频
时间:2026-04-16
半导体光刻工艺 光刻—半导体电路的绘制
时间:2026-03-09
石英灯电子变压器电路原理
时间:2026-03-06
什么是硅片或者晶圆?一文了解半导体硅晶圆
时间:2026-03-09
什么是室温超导?半导体时代将走向结束?芯...
时间:2026-03-09
北京理工大学实现了光导型向平面光伏型量子...
时间:2026-03-09
HTCC:半导体封装的理想方式
时间:2026-03-06
如何利用可扩展的柔性中间层制备超低模量电...
时间:2026-03-09
光伏控制器简介
时间:2026-03-06
电阻的原理和作用 电阻色环识别图 电路中电...
时间:2026-03-09
NVIDIA CPU+GPU超级芯片大升级!
时间:2026-03-09