以下文章来源于大话硬件,作者Katter
今天这篇文章介绍电感的七大关键参数。
1、电感值
电感值就是电感做好以后的固有特性,比如1uH, 10mH,1H,这样不同类型的感值。在学习电感值之前,我们先看一下电阻公式:

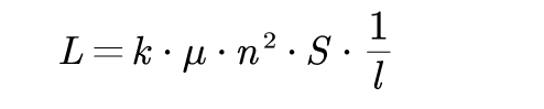
其中p是导体的电阻率(Ω*m),S是导体的横截面积(m2),l是导体的长度(m)。对于一段固定长度的导体,电阻的大小和导体的电阻率有关,而不是和通过导体的电压和电流有关。同样对于电感而言,电感的计算公式如下:

其中,k是长冈系数,u是磁导率,n是线圈的匝数,s是环的大小面积,l是线圈的长度。上面的几个系数用下面的图示表示

长冈系数(k)是由物理学者长冈半太郎博士引进的,是对线圈形状的修正系数。在截面积的半径为r、长度为l的线圈中,长冈系数为如下图表所示。2r/l=0为无限长的线圈,其长冈系数为1,有限长度的线圈不足1。意思是如果截面积相同,则长度越短电感越低。

因此,如果线圈的长度相同,要增加电感量,可以绕制更大截面积的电感,使用匝数更多的电感,铁芯磁导率更高的电感。
下面是TDK厂家的MLZ1608型系列电感的数据手册,从手册中可以看到,这个电感的电感值为,0.22uH,但是在电感值的后面跟随者是容差,也就是实际在使用电感时,电感值一般会因为工艺的原因,导致批次的个体之间存在±20%的容差存在。

2、直流电阻DCR
电感的直流电阻一般都很小,在mΩ级别,表征的是线圈铜线的电阻,电阻的大小可以根据电阻的公式进行计算。DCR越大,在电感上产生的热量和压降就会越大,因此在电源中使用的电感DCR会降低电源的效率。
在测量电感的DCR时,较快的方式是将一个直流通过电感,测试电感两端的压降,利用欧姆定律可以计算出电感的DCR。一般情况下,电感值越高,DCR会越大。
电感的DCR可以看成是频率为0时,电感的阻抗值,根据电感的阻抗公式:

当频率为0时,X应该为0,但是由于线圈存在电阻,因此,此时DCR就表现为电感的阻抗值。
3、饱和电流
电感的饱和电流是指当通过电感的值超过Isat时 ,电感值会迅速下降,导致电感失去电感的特性,变更一段导体,这也是为什么在电源电路中使用的电感,需要防止电感产生饱和现象。
在实际使用过程中,电感的饱和电感定义为电感值降低为初始20%时所通过电流的值即为饱和电流。

在电感的数据手册中也能明显看到随着电流的增大,电感存在一个急剧降低的阈值。

电感电流增加,为什么会存在电感急剧减小的原因是什么呢?

本质原因是因为直流电流增加导致磁芯的磁导率下降,如上图所示几种材料的磁导率和直流电流的特性曲线,当电流增加到超过一定限值时,磁导率减小,根据电感的公式可知,此时电感L也会减小。
4、温升电流
根据上面规格书中的定义,温升电流定义为电感自身温度上升40℃,通过电感的电流。

从上面的电流和温度的曲线可以看出,随着电流的增加,电感的温度在上升。当温度上升40℃时,此时对应的电流值即为温升电流。
5、额定电流
在电感的电流参数中,一共存在三个电流,额定电流, 饱和电流,温升电流,实际上这三个电流综合起来说就一个电流——额定电流。因为额定电流就是在Isat和Itemp中选择最小的一项。所以,如果给定一个电感,它的额定电流就是在饱和电流和温升电流中选一个最小的就可以。

6、电感的阻抗
电感在不同频率下表现出的阻抗值不一样,经常说电感通直隔交就是说当直流通过电感时,电感表现出非常小的阻抗,而当频率较高时,电感表现出较大的阻抗。

但是电感的阻抗并不是一直随着频率增加而增加,由于电感生产工艺和PCB焊接时无法避免的存在寄生电容,当信号频率刚好时电感和寄生电容出现谐振时,这个时候电感的阻抗最大,当频率继续增大时,电感的阻抗开始降低,并表现为电容性。阻抗随频率变化的曲线如下图所示。

7、交流电阻ACR
前面分析过电感的直流电阻DCR,通常也称为Rdc,对于电感还有一个参数即交流电阻,ACR或者Rac,这两个电阻都是影响电感损耗的因素。对于一段导线来说,它自身存在直流电阻,因此存在DCR,但是ACR应该怎么理解?
理论上电感的损耗只有直流电阻DCR带来的直流损耗,而实际使用的电感除此之外还包含有导致磁芯产生涡流损耗的电阻成分、因趋肤效应和邻近效应而增加的导线电阻成分,我们将之叫做交流电阻(ACR)。此交流电阻(ACR)与频率成正比,交流电阻值变大,导致高频的功率损耗变大以及零部件的温度上升,实际使用时需要考虑这些因素。
ACR的存在的根本原因是因为导体的趋肤效应和邻近效应,对于电感来说,电流并不是恒定不变的,一般都是呈现一定频率的波动,那么电感对不同频率的波动电流就会呈现不同的电阻,这个电阻就是Rac。

下图是TDK电感在不同频率下表现出来的交流电阻,根据曲线可知,在频率低于1MHz时,交流电阻表现比较低,不到10Ω,但是在10MHz时,电感的交流电阻达到1KΩ,引起原因就是频率增加,趋肤效应和邻近效应进一步增加,使得增加。

需要注意的是,一般的应用中交流成分远低于直流成分,比如使用上面的电感,用在300~500K的DC-DC中,ACR等效大概几百毫欧,因此在ACR造成的影响并不影响,但是在轻载时,直流成分降低,ACR造成的损耗就不能忽视。
RS485基本知识介绍
时间:2026-04-18
什么是激光雷达?激光雷达的构成与分类
时间:2026-04-18
Excelpoint - 一文了解SiC MOS的应用
时间:2026-04-18
什么是磁电阻器?磁电阻特性及应用
时间:2026-04-18
什么是电场?电场在电容器中的应用
时间:2026-04-18
什么是ARM64?
时间:2026-04-17
vga和hdmi的区别
时间:2026-04-17
什么是ESD?ESD及TVS的原理和应用
时间:2026-04-17
开关电源原理与维修完整版 (10)_标清视频
时间:2026-04-16
开关电源原理与维修完整版 (11)_标清视频
时间:2026-04-16
半导体光刻工艺 光刻—半导体电路的绘制
时间:2026-03-09
石英灯电子变压器电路原理
时间:2026-03-06
什么是硅片或者晶圆?一文了解半导体硅晶圆
时间:2026-03-09
什么是室温超导?半导体时代将走向结束?芯...
时间:2026-03-09
北京理工大学实现了光导型向平面光伏型量子...
时间:2026-03-09
HTCC:半导体封装的理想方式
时间:2026-03-06
如何利用可扩展的柔性中间层制备超低模量电...
时间:2026-03-09
光伏控制器简介
时间:2026-03-06
电阻的原理和作用 电阻色环识别图 电路中电...
时间:2026-03-09
NVIDIA CPU+GPU超级芯片大升级!
时间:2026-03-09