当我们谈论MOSFET的寄生电容时,我们在谈论什么?
EE工程师都会面临MOSFET的选型问题,无论是功率级别应用的Power MOS还是信号级别的Signal MOSFET,他们的Datasheet中,一定会给出MOSFET的三个结电容随Vds电压变化的曲线。
之所以需要关心这些电容,是因为电容容值从某些层面反映了器件的开关特性,影响了包括开关速度、效率、振荡以及EMI在内的各种系统特性。

相信很多EE第一次面对这些寄生电容时,都会觉得玄乎其玄。为什么电容不再是固定的容值,而非要随着DS的电压急剧变化?现实世界往往是非线性和复杂的,今天本着格物致知的精神,我们先从功率MOSFET器件的结构出发,让大家明白MOS里面的这些寄生电容到底是什么,以及怎样对应到实际的电路应用中来,帮助大家形成一些知识上的闭环。
1.横向沟道与垂直沟道
所谓沟道Channel,本质上就是电流在MOS本体中的流通路径。可以看到,沟道的开通与否是由栅极Gate与源极Souce之间的Vgs电压决定,因此MOSFET被认为是电压控制型器件。
如下这张示意图是 横向沟道设计 ,漏源极之间距离小且都置于硅晶圆表面,这样的结构适合集成,多用于信号级的MOS。

功率MOS一般采用的 垂直沟道设计 ,源极和漏极置于晶圆的相反两端。以常见封装TO-220为例,芯片置于框架上,通常将靠近塑封料的一面称为正面,正面主要分布源极和门极,靠近铜框架的一面称为背面,背面主要分布漏极。这样从漏极连到源极的沟道的方向就是“垂直的”。

2.垂直沟道MOS的半导体结构
衬底substrate、外延层epitaxial layer和本体P- Body,和高掺杂N+区构成了垂直沟道MOSFET的半导体结构。
如下a)图,是最早期投入商业应用的VMOS设计,但由于制造的稳定性问题和V形槽尖端的高电场, VMOSFET被取代。

如下b)图,为DMOSFET设计(Fairchild的叫法),可以看到其栅极Gate与表面平行,又称平面型MOS,这是商业上最成功的设计,由于工艺简单,至今还有非常大的年出货量。

当然,当前主流的功率MOS的门极结构如下c)图,使用U型槽设计,称为UMOSFET,或直接称为沟槽型MOS。

可以看到无论哪种结构,MOS的Gate都会与N+区,P- Body区,以及外延层形成一对多的局面,这也是MOS的门极相关电容的主要来源。
3.电容在哪儿?
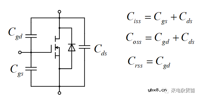
当我们从应用层考虑寄生电容对电路性能影响时,对于MOS管及其结电容一般采用如下的方式进行建模。

同时,厂家也会在Datasheet中给出Ciss,Coss和Crss的典型值和曲线。如果只是停留在主功率电路的设计层面,工程师只需要知道这些电容的大致范围即可。但在调试过程中,往往需要关注到更细节的瞬态波形,对电容特性的理解就显得至关重要了。

上图为一个MOSFET元胞的纵向截面,只展示左边这一半,右边的一半可以轴对称看过去。一个MOSFET产品往往由成千上万个这样的元胞横向重复并联组成,因此需要有单位面积电容的概念。
Cgs,是栅极对源极的电容。在芯片尺度,这个电容由三部分组成:栅极对源极金属的电容Co,栅极对N+区的电容CN+,栅极对P- Body的电容Cp。在芯片表面,源极金属,N+区和P- Body,都是等电位的。因此栅极对源极的电容容值是以上三个电容容值之和。
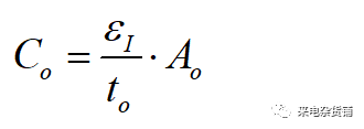
其一,栅极对源极金属的电容Co可以表示成:

公式中的物理量意义解释如下

当器件栅极结构确定时,Ao 和to都是确定的值,Co可以认为是固定值。
其二,栅极对N+的电容CN+可以表示为:

公式中的物理量意义解释如下

一些专用仿真软件,对MOS进行物理层面的建模时,Cox是非常典型的一个参数,它反映了栅极氧化物的电容性质。可以认为,Cox也是固定的结构参数,CN+不随Vds电压变化。
其三,唯一随电压变化的就是栅极对P- Body的电容 Cp了。在Vds的低压段,当VDS增大时,耗尽区会扩大至p型体,耗尽区的厚度决定了电容CP的极间距,容值随之减小。但到一定程度后耗尽区的厚度不再增大,不会超过P- Body的10%,最终表现为Cp在高压段随Vds电压变化极小。
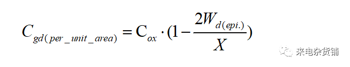
Cgd,是栅极对漏极的电容,又称米勒电容。其中,平面型MOS的单位面积的米勒电容可以由以下公式计算如下:

其中,Wd为外延层中耗尽区的宽度。X为表面外延层的横向长度。当DS电压越高时,耗尽区的宽度越大(根据PN结理论,表面外延层中耗尽区的宽度Wd和Vds电压的平方根成正比),有效的米勒电容的极板面积减小,米勒电容容值减小。

Cds,漏源极电容。这个电容的容值大小与P-Body和外延层的接触结构强相关(上图是非常理想的平面型接触,是为了方便大家有一个定性的理解。实际上商用MOSFET的接触结构更多的是三维的,将空间充分利用起来,例如如SuperJuction MOSFET)。这样的结构可以按如下PN结的结电容公式计算:

可以看到,漏源电容也随着Vds的增加而减小,和Vds的平方根成反比,这也是大多数电力电子教科书中近似量化Vds电容非线性的一种方法。
RS485基本知识介绍
时间:2026-04-18
什么是激光雷达?激光雷达的构成与分类
时间:2026-04-18
Excelpoint - 一文了解SiC MOS的应用
时间:2026-04-18
什么是磁电阻器?磁电阻特性及应用
时间:2026-04-18
什么是电场?电场在电容器中的应用
时间:2026-04-18
什么是ARM64?
时间:2026-04-17
vga和hdmi的区别
时间:2026-04-17
什么是ESD?ESD及TVS的原理和应用
时间:2026-04-17
开关电源原理与维修完整版 (10)_标清视频
时间:2026-04-16
开关电源原理与维修完整版 (11)_标清视频
时间:2026-04-16
半导体光刻工艺 光刻—半导体电路的绘制
时间:2026-03-09
石英灯电子变压器电路原理
时间:2026-03-06
什么是硅片或者晶圆?一文了解半导体硅晶圆
时间:2026-03-09
什么是室温超导?半导体时代将走向结束?芯...
时间:2026-03-09
北京理工大学实现了光导型向平面光伏型量子...
时间:2026-03-09
HTCC:半导体封装的理想方式
时间:2026-03-06
如何利用可扩展的柔性中间层制备超低模量电...
时间:2026-03-09
光伏控制器简介
时间:2026-03-06
电阻的原理和作用 电阻色环识别图 电路中电...
时间:2026-03-09
NVIDIA CPU+GPU超级芯片大升级!
时间:2026-03-09