我们在功分器设计一文中,详细叙述了功分器设计的相关知识,功分器主要实现功率的比例分配,但是很多时候,我们希望输入信号能够按照一定的相位和功率关系去分配,比如发射机,收信机的工作状态监控,从而构成混频器,衰减器,移相器,功率放大器等等,这个功率混合电路就叫做定向耦合器。
No.1 定向耦合器的技术指标
定向耦合器的技术指标包括:工作频带,插入损耗,耦合度,方向性与隔离度。
工作频带:定向耦合器是一种微波元件,其任何工作特性都与其工作频率相关,只有当工作频率确定下来之后,才能设计出满足工作频带内要求的定向耦合器
插入损耗:主要是指主路输出端与主路输入端的信号功率比值,包括耦合损耗和导体介质的热损耗,当然也包括反射损耗以及某些条件下的辐射损耗。
耦合度:描述耦合输出端口与输入端口信号的比例关系,通常用dB表示,耦合度越大,耦合端口输出功率越小。耦合度的大小由定向耦合器的用途决定,通常3dB定向耦合器可用作信号的等比例分配;40dB以上的耦合器经常用在信号的检测上。
隔离度:描述主路输入端口与耦合支路隔离端口关系,理想情况下,隔离端口无信号输出,隔离度为无穷大;
方向性:描述耦合支路耦合端口和隔离端口的比例关系。方向性=耦合度-隔离度
定向耦合器的指标我们可以根据定向耦合器的基本原理来解释。定向耦合器作为一个四端口网络,其原理图如下图所示。信号输入端口1 的功率为P1,信号输出端口2 的功率为P2,信号耦合端口3的功率为P3,信号隔离端口4的功率为P4.

那么定向耦合器的四大参数可以表示为:

No.2 定向耦合器的分类
我们知道了定向耦合器的基本参数,那么对于常用的定向耦合器,根据其构成可分为集总参数定向耦合器和分布参数定向耦合器;分布参数定向耦合器又可以依据其耦合方式和传输线的组成分成微带定向耦合器,波导定向耦合器等等。
集总参数定向耦合器
集总参数定向耦合器就是由集总参数元器件构成的定向耦合器,也就是由集总参数的电感电容组成的。下图是集总参数组成的分支线定向耦合器。

集总参数定向耦合器其结构简单,可根据电路性质分为低通型(电路a)和高通型(电路b),其设计步骤如下:
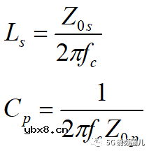
1,确定定向耦合器的技术指标,包括耦合系数C,端口阻抗Z0和工作频率f0。
2,将上述指标参数带入下列公式,直接计算,得到k,Z0s和Z0p:

3,根据系统所需要,选用合适的电路模型——高通型/低通型,再套公式:
低通型:

高通型:

最后最好在仿真软件里面再做一下仿真。。。
哦了。。。。。
看示例:

看结果:

分布参数定向耦合器
分布参数定向耦合器就是利用分布参数元器件构成了,简单来说就是用各种传输线来做的一个四端口无源器件。从构成来说可分为分支线型和耦合线型。
分支线型

耦合线型

我们在之前的文章中详细学习过这两种定向耦合器的性质,需要特殊注意的是,分支线的端口3是耦合端口,端口4是隔离端口,而耦合线型刚好相反。从这个角度来说,耦合线型有一个180°反向效应。
3.1 分支线型定向耦合器
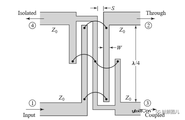
下图是常见的一种分支线定向耦合器示意图,由主线,副线和两个耦合分支线构成。主线,副线和分支线即可以有微带线构成,也可以由带状线,同轴线组成。常见的是微带线型的分支线定向耦合器。

所有定向耦合器的定向耦合特性都是由两个或者两个以上的波或者波分量在耦合端口叠加,并在隔离端口相抵消而产生的。对于上图的分支线定向耦合器,分支线的长度和间距都是四分之一波长。
那么我们首先来看一下它的定向性是怎么来的?
我们以上图定向耦合器为例,分别看一下信号在定向耦合器的四个端口个是怎么工作的?
1,假设端口(1)为输入端,信号有两条路径到端口(4),如下图所示。第一条路径的波程为四分之一波长,第二条路径的波程为四分之三波长,波程差为二分之一波长,对应的相位差为180°。相位相反,互相抵消。当两路信号的幅度完全相等时,完全抵消。那么端口(4)就是定向耦合器的隔离端。

2,那么端口(2)呢?似乎路径与端口(4)完全一样,两路信号也是程180°的相位差,互相抵消。那么,当端口(4)为隔离端时,路径A>B的信号幅度远大于路径A>D>C>B过来的信号,那么这个抵消的部分,就是定向耦合器的耦合损耗。端口2把剩余的信号传输过去,这个就是直通端

3,继续看端口(3)。两路信号到达C点的波程长度一样,都是二分之一波长,相互叠加,为耦合端。

耦合端的信号和直通端的信号的波程差为四分之一波长,对应的相位差为90°。这个定向耦合器就是90°定向耦合器。
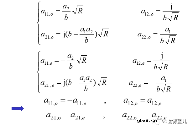
上面只是定性分析了一下分支线定向耦合器的工作原理。接下来我们对其进行数学分析。看看数学上说不说的过去?分析方法为耦合器常用的“奇偶模分析法”。

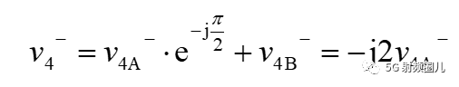
为了得到各个端口输出波电压的性质,那么我们假定端口(1)入射波电压V1 =1 ,端口(4)入射波电压 V4=0。

奇模激励下,分支线对称面上的电压等于零,等效为短路。偶模激励下,分支线对称面上的电流为零,等效为开路。此时四端口网络可以转化成两个二端口网络,其中每个二端口网络的端口电压都是奇模激励和偶模激励两种情况下端口电压的叠加。


然后经过一系列等效,得到最终的阻抗关系为:


抄不下去了,这是什么数学?记住下面两个公式得了。(划重点啦)

好了,来个例子玩玩。
试设计一个3dB微带双分支定向耦合器,已知各端口微带线特性阻抗均为50,中心频率为5GHz,介质基板的相对介电常数εr=9.6,基板厚度h=0.8mm。
先算:按照上面圈里面的两个公式,编程算一下:
C=3; %3dB
V3=sqrt(1/(10^(3/10)))
b=1/(sqrt(1-V3^2))
a1=b*V3
a2=a1
Z0=50;
Za1=Z0/a1
Za2=Z0/a2
Zb=Z0/b
最后得到Za1= 50Ohm,Za2= 50Ohm,Zb=35.4Ohm
然后根据微带线的阻抗公式得出:

接下来,带入到仿真软件中看一下结果怎么样吧。


除了单支节分支线定向耦合器,还有多支节定向耦合器,工作带宽相比单支节宽了很多。如下图:


3.2 耦合线定向耦合器

如上图所示,平行耦合线定向耦合器是由两段靠的很近的,相互平行的传输线组成,一段作为信号的主传输线,另一端作为信号的耦合线。这个传输线既可以是微带线,也可以是带状线。大功率,低损耗的耦合线定向耦合器常常由空气腔体耦合带状线构成,如下图所示。

定性分析

上图是一款常见的平行线定向耦合器,其耦合线长度为L。我们假设端口1是射频信号的输入口,端口2,毋庸置疑,就是信号的直通端。那么我们来定性分析一下端口3 和端口4 的射频信号的特性,以确定哪个是耦合端,哪个是隔离端?
我们先回忆一下分支线型定向耦合器的定性分析。我们是利用信号的相位差来确定耦合端和隔离端的。那么看下图,大家知道那个是隔离端口,哪个是耦合端口吗?对于射频工程师,建议记牢这个。

那么对于耦合线型的耦合器,怎么快速判断耦合端口和隔离端口呢?

首先来明确两个概念。
第一,对于靠的很近的两条线,他们之间的有个耦合电容C。并且靠的越近,电容越大。电容耦合电流ic3和ic4分辨沿着耦合线向两端传输。
第二,对于电磁信号传输主线上的射频信号i1,根据电磁感应定律会在耦合线上有一个感应电流iL,iL的方向与i1的方向相反。
这样在端口3,电容耦合电流ic3和感应电流iL3同向叠加。在端口4,电容耦合电流ic4和感应电流iL4方向相反互相抵消。在理想情况下,端口4 的两个电流抵消为0,没有信号输出,为隔离端。端口3 为耦合端。
和分支线定向耦合器不同的是,平行耦合线定向耦合器的耦合端和直通端是反向的,因此又称为“反向型定向耦合器“。
定量分析。
平行线定向耦合器的分析方法依然是奇偶模分析法。详细过程如下:




然后经过几百字的分析(此处省略1000字,详细推导过程,请翻阅参考书《微波技术与微波器件》)得出设计公式:继续圈重点。

设计实例
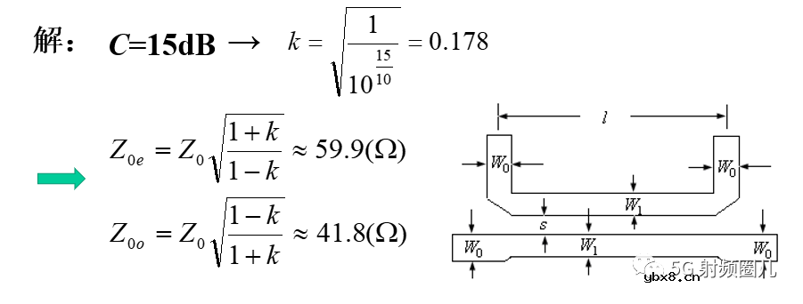
设计一平行耦合线定向耦合器,指标为:中心频率3.5GHz,耦合度C=15dB,引出线特性阻抗为50Ω,介质基片εr=9.6,h=1mm。
step1:带入公式计算:

W1/h=0.97, W1=0.97mm; s/h=0.62, s=0.62mm
耦合线段的长度近似认为等于未耦合单根线的1/4波长。
根据微带线公式计算出微带线宽度:W0=0.99mm
step2:带入HFSS建模仿真:

step3:仿真结果如下:

结论:在中心频率3.5GHz处,回波损耗 | s11|<-33.5dB,隔离度-| s41|=23dB,耦合度-|s31| ≈12dB,基本满足设计要求。
平行线定向耦合器的宽频带设计
为了获得更大的带宽,使用多个λ/ 4耦合部分。这种耦合器的设计与分布式元件滤波器的设计大致相同。耦合器的各部分被视为滤波器的部分,通过调整每个部分的耦合系数,可以使耦合端口具有任何经典滤波器响应,例如最大平坦(巴特沃斯滤波器), 等纹波(椭圆函数滤波器)或指定纹波(切比雪夫滤波器)响应。纹波滤波器是通带中耦合端口输出的最大变化,通常用标称耦合因子作为正或负的dB值。

3.3 耦合孔耦合器
另一种常用的耦合线耦合器是有波导线间的耦合孔来实现的,我们叫做耦合孔耦合器。矩形波导定向耦合器同上面介绍的两款定向耦合器一样,由主波导和负波导组成。通过主波导和副波导公共壁上的耦合孔进行耦合。根据耦合孔的数目和形状,波导定向耦合器可分为单孔定向耦合器,多孔定向耦合器,十字孔定向耦合器匹配双T和波导裂缝电桥等多种结构形式。
单孔定向耦合器

单孔定向耦合器的结构如上图所示,其主副波导的公共壁是宽壁,圆孔开在公共宽壁的中心线上。假设输入信号的波形为TE10模,其模式图如下图所示。当TE10波从主波导端口1输入后,大部分的信号从端口2输出,一小部分的信号能量通过公共壁上的圆孔耦合到副波导中去,而且耦合到副波导中的能量大部分从端口3输出,端口4 有很少的信号能量输出。那么对于单孔耦合器,端口1 为耦合器的输入口,端口2为直通口,端口3 为耦合口,端口4为隔离口。为什么呢?
先看下面的场图和电流分布图。把这个记在脑海我们从电磁场的分布中去寻找答案。


根据TE10波再矩形波导中的电磁场分布,在耦合圆孔附近的电场和磁场分布如下图所示。

当主波导的TE10波到达耦合圆孔时,电场能量E会通过耦合圆孔进入副波导的公共宽壁上,使圆孔周围得到大小相等方向相同的电场分布,如上图b所示。由于圆孔在波导宽面的中心线上,在圆孔处,除了电场耦合外,磁场同样会通过耦合圆孔进入到副波导中去。如图C所示。这样电磁场通过耦合孔进入到副波导线中之后,会相互叠加。由上图可知,在端口3,电磁场耦合的信号相互叠加增强,端口4处的电磁场耦合的信号抵消减弱。
对于单孔耦合器的计算可以通过小孔耦合理论进行定量分析计算,具体过程可参见今日推文2学习——《矩形波导与圆柱波导或圆柱谐振腔间的小孔耦合》。这里仅给出利用小孔耦合理论推到出的单孔定向耦合器的耦合度C和隔离度D的计算公式。(划重点)

式中a,b分别为波导的宽边和窄边尺寸,波导波长为:

多孔定向耦合器
上面介绍完单孔耦合器,我们接着来学习多孔耦合器。
下面介绍的矩形波导多孔耦合器的主波导线和副波导线相互平行,公共壁为波导窄壁,在公共窄壁上开有若干个相隔一定距离的小孔。最简单的多孔耦合器为双孔定向耦合器,其结构如下图所示,两孔之间的距离为


当电磁信号从端口1输入时,在主波导中的TE10模在窄壁上只有纵向的磁场分量,没有电场分量,因此通过每个耦合孔只有一种耦合波,若要在副波导中形成定向耦合,至少需要开两个耦合孔。波传输示意图如下图所示。

设由孔A耦合到副波导中的波记为 V3a,V4a ,因耦合孔很小,所以认为到达孔B的波与到达孔A的波近似相等,只是相位落后


当V3b传输到孔A与V3a合成时,相位又落后


同理,由端口4输出的合成波为:

由以上两式可知,端口3为隔离端,端口4为耦合端。
通过上述分析可知,双孔定向耦合器的定向耦合作用是由两孔耦合的波相互干涉形成的,类似于之前介绍的分支线定向耦合器。
多孔定向耦合器的结构和工作原理与双孔定向耦合器的结构和工作原理类似,但多孔定向耦合器的频带较宽、耦合度较小。
3.4 Lange耦合器
除此之外,还有一种可以实现紧耦合的耦合器,是由工程师Lange发明的,我们成为Lange 耦合器

Julius Lange 和他的耦合器(内附论文下载)
1969年,当时在TI工作的Dr. Lange 接到了一个棘手的项目。当时的TI要研发一款基于陶瓷基板的射频放大器,在这个放大器里面需要一个3dB耦合器,然而在当时的条件下,微带耦合器很难实现3dB的紧耦合。即使现在,在同层PCB上,靠窄边耦合,也很难实现如此大的强耦合。如果这个问题给你,你会怎么解决呢?很快我们都会想到了交指,用交指来实现微带线见的强耦合,这个在现在滤波器设计中会经常用到,比如下面这张图。实际上 Lange也想到了这个方法,但是在实际设计中又遇到了对称性的问题,在这一个一个问题的排查解决过程中,一个伟大的耦合器就此产生——Lange耦合器。

J. Lange 是幸运的,他接到了一个好项目,让他有机会去寻找这个问题的解决方法。换做是你,也许这个耦合器前面加的就是你自己的名字。不能怪我们不够聪明,只能说自己生的太晚了。

Dr. Lange 紧接着就发表了这篇著名的论文“Interdigitated Strip-Line Quadrature Hybrid”,当然也拥有了这个耦合器的专利US3516024。(需要的同学可以在公众号对话框输入 Lange,获得下载链接。)

No.2 Lange 耦合器的原理
Lange耦合器是一种正交混合耦合器,在输出端口(端口2和端口3)之间有90°的相位差。Lange耦合器的微带电路设计如下图所示。为了达到强耦合,此处用了四根相连接的耦合线,这种耦合线很容易实现强耦合,并且有一倍频程以上的带宽。其难点是实际加工比较困难,主要是线比较窄且间隙很小,另外的横跨在线之间的连接线也很难实现。

于是人们就把原始的Lange耦合器做了展开设计,如下图所示。

展开型的Lange耦合器设计就稍微简单点,但是原理同Lange原型一样。展开型的Lange耦合器可以用等效电路模拟,如下图所示,它由四根导线组成,所有这些导线都有相同的线宽和间隙。如果我们假设每根导线只与相邻的导线进行耦合,忽略较远的导线的耦合,那么其等效电路可以展开成两根平行耦合线。然后就可以用耦合线的分析方法去分析Lange耦合器。

分析方法我们不再详述,具体可参考论文“A NOVEL APPROACH TO THE DESIGN AND IMPLEMENTATION OF 3 dB LANGE COUPLER FOR MMIC Ka-BAND QPSK MODULATOR”

比较方便的是很多的射频仿真软件上集成了Lange 耦合器的模型,我们可以直接调用模型进行仿真。比如ADS里面的这个模型。

我们调用这个模型就可以进行仿真。



No.4 耦合器的那些专利
CN202585699U_弱耦合定向耦合器

一种大功率矩形波导双定向耦合器的制作方法

CN107370458A_一种基于单片集成技术的太赫兹混频电路

CN108091974A_一种矩形波导定向耦合器
本发明提供了一种矩形波导定向耦合器,包括耦合器壳体,耦合器壳体内设有主线波导腔和分支波导腔,主线波导腔和分支波导腔之间设有耦合窗口,耦合窗口位置设有竖向的两个耦合主柱;主线波导腔内、分支波导腔内对应位置分别设有耦合副柱;耦合主柱的上下两端、耦合副柱的上下两端附近的耦合器壳体上都设有滑动槽,滑动槽使耦合主柱、耦合副柱按照预定曲线移动至预定位置,调节矩形波导定向耦合器的耦合度。上述矩形波导定向耦合器,由于设有耦合主柱和耦合副柱,通过调节耦合主柱和耦合副柱在滑动槽中的位置,从而调节矩形波导定向耦合器的耦合度,耦合度可调,使上述矩形波导定向耦合器能够适用于多种耦合度的需要,适应性更强。

WO2020187110A1_DIELECTRIC TRANSMISSION LINE COUPLER, DIELECTRIC TRANSMISSION LINE COUPLING ASSEMBLY, AND NETWORK DEVICE

US10756407B2_Power distribution circuit and multiplex power distribution circuit

US20200220246A1_BRANCH-LINE COUPLER

CN210576373U_一种耦合度可调的耦合器

CN110611144A_一种小型化宽带前向波定向耦合器单元电路

本发明公开一种小型化宽带前向波定向耦合器单元电路。该前向波定向耦合器单元电路共有五层电路结构。开槽的耦合微带线位于整体电路第一层,交指金属平行板位于整体电路第二层和第三层,开槽的耦合微带线和交指金属平行板通过金属过孔连接;垂直折叠金属线从第二层中间位置开始,折叠弯曲至第四层中间位置,层与层之间通过金属过孔连接;第五层为整体电路的参考地。所述五层电路结构的每层金属层之间为衬底介质。5个单元电路的级联,增大了奇偶模累积相位差,在5.5‑9GHz频段内实现0.5dB的能量耦合度,耦合相对带宽达48.27%。所述前向波定向耦合器单元电路大大缩小了整体电路尺寸,结构较简单,实用性较强
CN110611145A_一种HMSIW平衡定向耦合器

本发明公开了一种HMSIW平衡定向耦合器,适用于较高的厘米波和毫米波频段,由两个垂直堆叠的单端定向耦合器组成,在公共地面上刻蚀矩形缝隙并引入人工表面等离激元(SSPP)结构。在差模激励下,矩形缝隙区域被等效为理想电壁(PEC),由于公共金属面近似认为是理想电壁,因此其差模等效电路即对应的单端定向耦合器。然而,在共模激励下时,公共金属面被等效为理想磁壁(PMC)。根据PEC‑PMC结构的边界条件,TEn0模式无法在SIW中传输,此时共模信号在矩形缝隙边缘被反射。通过在矩形缝隙中引入SSPP结构,上/下金属层与公共金属面之间的槽线传输模式被有效抑制,从而进一步提高了平衡定向耦合器的共模抑制能力。另外,本发明具有结构紧凑、设计简单以及高共模抑制等特点。
CN107689474B_一种带矩形缺口的C波段正交电桥

本发明公开一种带矩形缺口的C波段正交电桥;通过PCB上的三段式的耦合段分布,有效的解决了传统C波段电桥的干扰大等问题;另外由于其将耦合线印制在PCB板上,通过PCB板的绝缘层来耦合,实现了整体化生产,进而实现批量化、简易化的生产,而且提高了工作频带宽,使得其损耗小、高低温性能稳定。
结语:
定向耦合器作为最常用的射频无源器件,其设计不仅需要射频理论知识作为基础,更需要准确的仿真。
审核编辑:刘清
视频服务器的基本特性与十大选择理由
时间:2026-03-06
Windows2003 中怎样配置NAT服务器?
时间:2026-03-06
什么是SPEC基准测试(服务器知识)
时间:2026-03-06
Linux系统下VPN服务器配置方法介绍
时间:2026-03-06
服务器性能的基准测试
时间:2026-03-06
打造SQL Server2000的安全策略教程
时间:2026-03-06
发现并防止对WEB应用服务器的三种攻击
时间:2026-03-06
专家谈如何提高服务器利用率
时间:2026-03-06
剖析Windows系统中的VSS存储技术
时间:2026-03-06
深入优化DB2 数据库的五个最佳实践
时间:2026-03-06
玻璃釉电容器的结构与特点
时间:2026-03-05
关于STM32WL LSE 添加反馈电阻后无法起振的...
时间:2026-03-05
电阻的标称阻值和允许偏差
时间:2026-03-05
浅谈高压贴片电容分类与性能参数
时间:2026-03-05
聚四氟乙烯电容器的结构与特点
时间:2026-03-05
漆膜电容器的结构与特点
时间:2026-03-05
复合介质电容器的结构与特点
时间:2026-03-05
瓷介电容器的结构与特点
时间:2026-03-05
电解电容器的结构与特点
时间:2026-03-05
电解电容的型号
时间:2026-03-05