进入共漏极放大器。虽然它不像共源极放大器那样常用,但当它放置在运算放大器的输出端时,它就是一个很好的电压缓冲器:其小信号增益约为 1,输出电阻相对较小。这种放大器的输入和输出阻抗在创建振荡器或双端有源电感器时也很有用。

一旦晶体管导通,电流源就会强制偏置电流 ( I BIAS ) 通过晶体管。基于此,我们可以计算栅极 - 源极电压,如下所示:VGS = √2IBIASμnCoxWL + VTH
等式 1.
在哪里:由于本例中的V GS等于V IN - V OUT,我们可以重新排列该方程来求解V OUT:
VOUT = VIN ? ??√2IBIASμnCoxWL + VTH??
等式 2.从公式 2 中我们可以看出,V OUT在较低电压下跟随V IN。这指出了源极跟随器的一个常见应用,即它可以用作电平转换器。

带 MOS 电流源的共漏放大器。

M2 必须处于饱和状态才能正常工作,因此该放大器的大信号特性略有不同。当V OUT ≥ V BIAS – V TH时,会发生饱和。如果V OUT低于V BIAS – V TH,则 M2 工作在线性区,从而降低源极跟随器的性能。
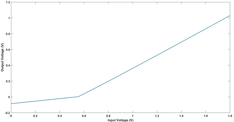
图 4 显示了图 3 的直流特性。

相关热词:#共漏极放大器
热敏电阻的基础知识
时间:2026-03-22
什么是PTC(热敏电阻)
时间:2026-03-22
PTC热敏电阻组织结构和功能原理
时间:2026-03-22
PTC专业术语
时间:2026-03-22
恒温加热用PTC热敏电阻器
时间:2026-03-22
液体加热用PTC热敏电阻器
时间:2026-03-22
空气加热用PTC热敏电阻器
时间:2026-03-22
低电压用PTC恒温加热器
时间:2026-03-22
过流保护PTC热敏电阻
时间:2026-03-22
PTC热敏电阻的应用原理
时间:2026-03-22
什么是追踪缓存/转接卡?
时间:2026-03-06
瞬间抑制二极管(TVS)/瞬间抑制二极管(TVS)是...
时间:2026-03-04
什么是Speculative execution/SQRT?
时间:2026-03-06
什么是联合并行处理二级缓存?
时间:2026-03-06
什么是EPIC
时间:2026-03-06
什么是因特网数据流单指令序列扩展?
时间:2026-03-06
什么是CPU的生产工艺技术/向下兼容?
时间:2026-03-06
EMC和ESD防护技术
时间:2026-03-05
坐标基准
时间:2026-03-07
GPS设备的地图功能
时间:2026-03-07