对伽马校正的需求源于CRT电视显示器的发明。CRT使用电子束光栅来照亮显示器前面板背后的荧光涂层。所施加的栅极控制电压按比例地控制发光强度,并遵守冥次法则:发光强度 = 控制电压的伽马次方。这种控制具有内在的非线性性质。CRT的标称伽马值为大约2.5。另一方面,人眼具有反向响应,对灰度级的较暗部分的变化相对敏感。因此,为使最终图像对人眼显示出灰度级真实深度的变化,必须在图像传输前对红、绿和蓝信号进行伽马校正。该校正在视频源系统中进行,如电视广播摄像头。
本白皮书将介绍如何通过伽马校正(亦称伽马校准)来确保汽车TFT-LCD面板的亮度一致和色彩匹配。我们将讨论如何使用14通道可编程伽马缓冲器来校准LCD面板的伽马响应,并介绍高、标称及低伽马设置的三个例子。
摄像头设计的输出电压与发光强度成比例,等于发光强度的1/2.5次方(0.4次方)。由于略大于1的伽马值比较受偏爱,因此广播标准通常使用0.5的伽马值,从而使系统伽马值为1.25。图1显示了摄像头的内置伽马响应是CRT响应的倒数,因此无需进行额外的系统伽马校正。但必须对TFT-LCD的信号进行调节,以补偿摄像头的伽马调整,后者最初是为CRT显示器而设置的。

图1. 传统CRT系统的伽马值
英文 中文翻译
Relative Luminance 相对亮度
Input Level IRE 输入电平IRE
Camera Gamma Response 摄像头伽马响应
CRT Display Response CRT显示器响应
Inherent Gamma Correction 内在伽马校正
汽车LCD面板伽马校准
TFT-LCD面板在汽车组合仪表、信息娱乐和导航本体单元以及高级驾驶辅助系统(ADAS)智能后视镜上的应用越来越多。它们不是用电子枪和荧光层来产生发光强度,而是通过向液晶像素施加电压来控制“背光”穿过像素的透射率。采用冷阴极荧光灯(CCFL)或发光二极管(LED)阵列来提供“背光”。施加于液晶像素的电压可以控制传送到前面的背光光量,以便再现传输图像,这可定义针对TFT-LCD的透射率曲线。
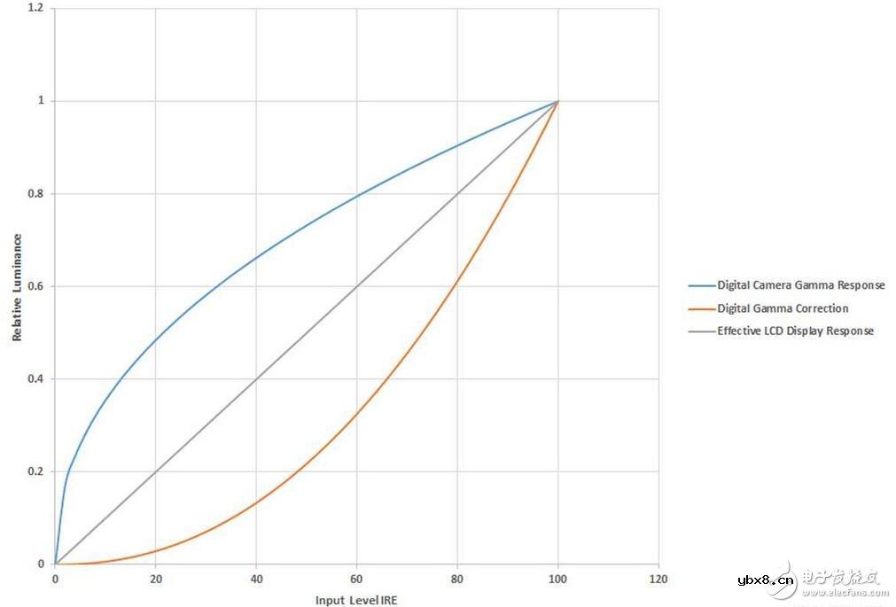
TFT-LCD的伽马值不同于CRT;不过它具有轻微的伽马响应。传统广播系统的伽马校准在信号传输过程中进行,以补偿CRT伽马响应,而且这结合了人眼的反向响应。因此,必须在将信号施加于TFT-LCD面板之前对其进行伽马校正。TFT-LCD 伽马校正有必要遵循 CRT 显示器的伽马校正。输入视频信号是数字式的,且伽马校正码施加于数模转换器(DAC),以产生电压并施加于像素。这些伽马校正码可帮助面板显示器制造商确定满足视觉效果要求的合适校正码。系统常常能够存储针对不同环境光条件的多个伽马校正设置。图2显示了用于TFT-LCD面板的规范化伽马校正,以实现系统伽马值1。

图2. LCD系统伽马值
英文 中文翻译
Relative Luminance 相对亮度
Input Level IRE 输入电平IRE
Digital Camera Gamma Response 数字摄像头伽马响应
Digital Gamma Correction 数字伽马校正
Effective LCD Display Response 有效LCD显示器响应
数字视频数据,通常是低压差分信号(LVDS),必须使用DAC进行转换,以产生施加于像素的模拟电压。使用面板的源/列驱动器中的分段非线性DAC进行伽马校正(有意实现非线性)。源驱动器DAC决定可向像素施加多少个不同的电压阶跃(如一个8位DAC可产生28或256个灰度级)。图3显示了由每个电压阶跃造成的灰度级强度变化感知,是相对于面板的伽马响应(电压-透射率或V-T曲线)和眼睛的响应。

图3. 不同伽马响应的相对强度变化对比
英文 中文翻译
GAMMA 伽马
PERCIEVED LUMINANCE 感知的亮度
伽马校正的非线性性质导致亮度等级低的图像数据被压缩,而亮度等级高的图像数据压缩很少或没有压缩。低等级压缩使得处于“暗”至“较暗”区域的图像数据比较醒目,人眼更容易察觉。这可改善图像深度。作为附加好处,这种压缩和非线性导致用于亮度编码的位数较低(如非线性情况为8位,而线性情况为12位或14位)。另外,压缩还可帮助降低可能存在的视频信号噪声。
为将LCD面板的伽马响应变为需要的V-T传递函数,面板的源(列)驱动器DAC可使用施加于多个分接点的各种参考电压。这些电压迫使每个DAC有特定理想非线性工作条件。参考电压常常由伽马缓冲器IC提供,通常是向DAC分接点提供模拟电压的缓冲放大器。伽马缓冲器IC可以是静态或可编程的。Intersil ISL76534是一款可以用于汽车LCD面板的器件,它由基于I2C的14通道可编程伽马缓冲器和一个VCOM通道组成,二者的分辨率均为10位。该器件可向汽车TFT-LCD源驱动器提供准确和稳定的DC参考电压。图4显示了一个简化的TFT-LCD面板系统框图。

图4. 简化的TFT-LCD面板框图
英文 中文翻译
CONTROLLER 控制器
VCOM DRIVE VCOM驱动
Control lines 控制线
Red 红色
Green 绿色
Blue 蓝色
PROGAMMABLE GAMMA BUFFER 可编程伽马缓冲器
OUT OUT
COLUMN DRIVER DAC 列驱动器DAC
GATE & ROW DRIVE 栅极和行驱动
LCD PANEL & DRIVE HARDWARELCD 面板和驱动硬件
PIXEL (includes R, G, B sub pixel) 像素(包括R、G、B子像素)
借助对DAC分接点的控制,汽车LCD面板制造商能够对电压进行微调,从而进一步调整或校准面板的非线性伽马响应(亦称伽马校准)。这有助于汽车LCD面板制造商能够确保其某一型号的所有LCD面板具有一致的伽马响应。这意味着由LCD生产制造差异等因素造成的潜在视觉效果差异得以最小化,因此汽车LCD面板制造商能够提供更一致和具有视觉吸引力的产品。消费者则能放心其所购买的汽车的显示器与其在经销商处试驾时看到的显示器具有相同的视觉效果。
最终由面板制造商决定以何种方式来校准伽马响应(如γ = 2.2、γ = 2.0、γ = 1.8,或者基于预期亮度的不同伽马值的组合),使其显示器具有特定的视觉效果。值得注意的是,伽马特性容易随着视角变大和不同的环境照明条件而变化,所以在购买汽车时应当比较一下显示器在强光和低光条件下的显示效果,以确定显示的图像是否令你满意。
不同伽马值的图像比较
图5比较了同一幅图像具有不同总伽马值时的视觉效果,很容易看出来差异。中间图像(图5B)是标称(原始)伽马值(如γ = 2.2),顶部图像(图5A)大于标称值,底部图像(图5C)小于标称值。底部图像随着暗色消失而失去对比度,并变得有点反白。顶部图像的对比度较大,但总体上暗色的区域比较多。
图5A. 高伽马值图像示例
图5B. 标称伽马值图像示例
图5C. 低伽马值图像示例
伽马值和汽车信息娱乐显示设置
汽车LCD面板具有由源驱动器性能决定的黑-白端点等级。但在视频数据处理期间可对信号进行数字调整。另外也可通过调节LCD面板的背光强度来改变亮度,这增加了又一个系统性能维度。显示器控制功能常常可对亮度和对比度、白天和夜晚设置进行调整。
可编程伽马缓冲器可简化评估和设置显示器传递函数的任务,亦即将该任务转移到汽车显示器生产商的制造周期。这些伽马设置被编程到EEPROM中,并在系统加电时传送至DAC。有些缓冲器具有多个存储器组来保存对应于不同环境光条件的多个显示器设置文件(profile),以及可由用户使用相应工具保存和存储的定制设置。制造商提供的伽马设置文件通常足以满足大多数汽车应用的要求。编程工作在初始设置期间完成,此后设置文件不再变化,除非需要通过微调来改进显示器的视觉效果。
结论
汽车LCD面板制造商力求让其显示器面板的图像视觉效果受到汽车制造商和消费者的认可。这需要稳定的伽马缓冲器参考值,以确保其LCD面板显示的视频彩色图像具有完全相同的对比度、亮度和色彩,不因不同显示器而异。使用高精度可编程伽马缓冲器(如Intersil ISL76534)可实现这一目标。了解有关ISL76534的更多信息。
继电器几个典型常用的接线图
时间:2026-03-06
AQH2223光耦固态继电器介绍
时间:2026-03-06
Arduino继电器的基本概念、应用电路及接线图
时间:2026-03-06
学习一下继电器的基本知识、使用方法和典型...
时间:2026-03-06
电磁继电器与固体继电器的区别
时间:2026-03-06
三相固态继电器控制加热管实例
时间:2026-03-06
大功率开关电源输入端的继电器它有什么用呢...
时间:2026-03-06
分析智能开关继电器选型的考究点
时间:2026-03-06
什么是继电器?它是如何工作的
时间:2026-03-06
一文简析变压器原理及接线组别
时间:2026-03-06
瞬间抑制二极管(TVS)/瞬间抑制二极管(TVS)是...
时间:2026-03-04
什么是追踪缓存/转接卡?
时间:2026-03-06
什么是EPIC
时间:2026-03-06
什么是联合并行处理二级缓存?
时间:2026-03-06
什么是Speculative execution/SQRT?
时间:2026-03-06
双向二极管起什么作用?
时间:2026-03-04
什么是霍尔传感器
时间:2026-03-05
数字比较器,数字比较器是什么意思
时间:2026-03-04
常用整流二极管型号大全
时间:2026-03-04
S/HS固态继电器原理简介
时间:2026-03-04